

Hãy luôn nhớ cảm ơn và vote 5*
nếu câu trả lời hữu ích nhé!

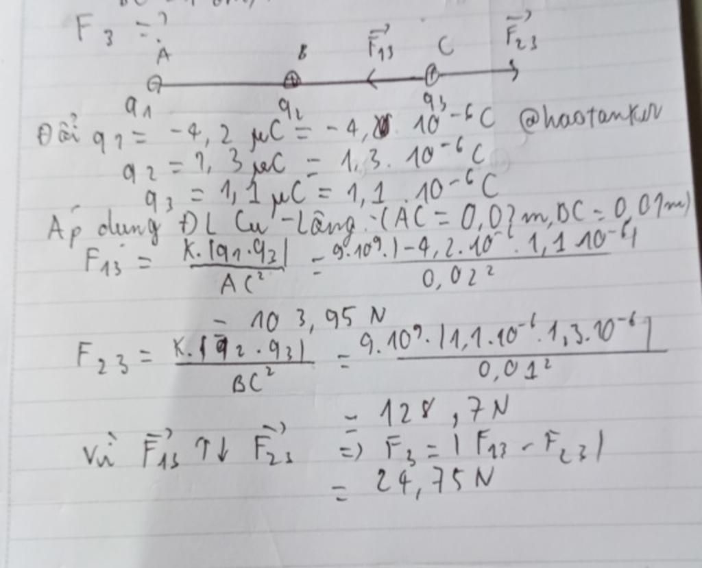
Đáp án:
`F=24,75(N)`
Giải thích các bước giải:
`q_{1}=-4,2(μC)=-4,2.10^{-6}(C)`
`q_{2}=1,3(μC)=1,3.10^{-6}(C)`
`q_{3}=1,1(μC)=1,1.10^{-6}(C)`
Lực tương tác do `q_{1}` tác dụng lên `q_{3}` là:
`F_{13}=k.\frac{|q_{1}.q_{3}|}{r_{AC}^{2}}`
`=9.10^{9}.\frac{|-4,2.10^{-6}.1,1.10^{-6}|}{0,02^{2}}=103,95(N)`
Lực tương tác do `q_{2}` tác dụng lên `q_{3}` là:
`F_{23}=k.\frac{|q_{2}.q_{3}|}{r_{BC}^{2}}`
`=9.10^{9}.\frac{|1,3.10^{-6}.1,1.10^{-6}|}{0,01^{2}}=128,7(N)`
Ta có: `vec{F_{13}}`$\uparrow$$\downarrow$`\vec{F_{23}}`
Lực điện tổng hợp tác dụng lên `q_{3}`
`F=|F_{13}-F_{23}|=|103,95-128,7|=24,75(N)`
Hãy giúp mọi người biết câu trả lời này thế nào?

Bảng tin