

Hãy luôn nhớ cảm ơn và vote 5*
nếu câu trả lời hữu ích nhé!
Đáp án+Giải thích các bước giải:
Cách `1`
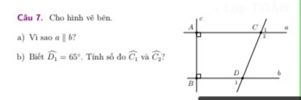
`a)`
Có :
`c⊥a,c⊥b`
`->a`$//$`b`(Từ vuông góc đến song song)
`->đpcm`
`b)`
Có :
`hat{D_1}` đối đỉnh `hat{CDb}`
`=>hat{D_1}=hat{CDb}=65^o`
Mà `a`$//$`b`
`=>hat{CDb}` và `hat{C_2}` là cặp góc trong cùng phía
`=>hat{CDb}+hat{C_2}=180^o`
`=>65^o +hat{C_2}=180^o`
`=>hat{C_2}=115^o`
Lại có `hat{C_2}` kề bù `hat{C_1}`
`=>hat{C_2}+hat{C_1}=180^o`
`=>115^o +hat{C_1}=180^o`
`=>hat{C_1}=65^o`
Cách `2`
Có `hat{D_1}` và `hat{C_1}` là cặp góc so le ngoài (Do `a` $//$`b`)
`=>hat{D_1}=hat{C_1}=65^o`
Lại có `hat{C_1}` kề bù `hat{C_2}`
`=>hat{C_1}+hat{C_2}=180^o`
`=>65^o +hat{C_2}=180^o`
`=>hat{C_2}=115^o`
Hãy giúp mọi người biết câu trả lời này thế nào?
![]()
a) Ta có: `a ⊥ c` , `b ⊥ c`
`=>` `a` // ` b` ( quan hệ từ vuông góc đến song song )
b) Ta có: `hat{BDC} + hat{D_1}=180^o` ( kề bù )
`=>` `hat{BDC}=180^o-65^o=115^o`
Vì `a` // ` b` ( theo chứng minh trên )
`=>` `hat{BDC}=hat{C_2}=115^o` ( so le trong )
Ta có: `hat{C_1}+hat{C_2}=180^o` ( kề bù )
`=>` `hat{C_1}=180^o-115^o=65^o`
Vậy `hat{C_1}=65^o`, `hat{C_2}=115^o`
Hãy giúp mọi người biết câu trả lời này thế nào?
![]()
Bảng tin