

Hãy luôn nhớ cảm ơn và vote 5*
nếu câu trả lời hữu ích nhé!

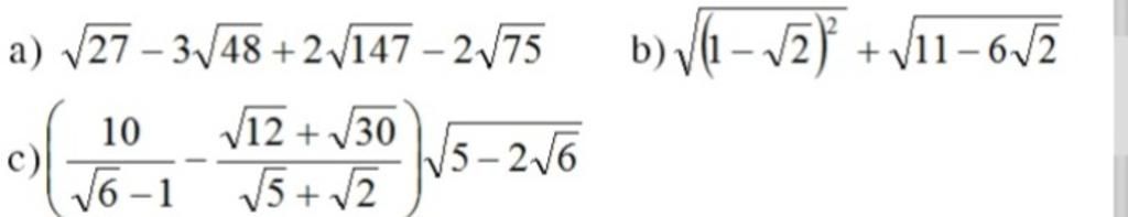
Đáp án:
b) $\sqrt{(1-\sqrt{2})^2}+\sqrt{11-6\sqrt{2}}=2$
c) $\left(\dfrac{10}{\sqrt{6}-1}-\dfrac{\sqrt{12}+\sqrt{30}}{\sqrt{5}+\sqrt{2}}\right).\sqrt{5-2\sqrt{6}}=5\sqrt{2}-4\sqrt{3}$
Giải thích các bước giải:
b)
$\sqrt{(1-\sqrt{2})^2}+\sqrt{11-6\sqrt{2}}\\=|1-\sqrt{2}|+\sqrt{(3-\sqrt{2})^2}\\=\sqrt{2}-1+|3-\sqrt{2}|\\=\sqrt{2}-1+3-\sqrt{2}\\=2$
c)
$\left(\dfrac{10}{\sqrt{6}-1}-\dfrac{\sqrt{12}+\sqrt{30}}{\sqrt{5}+\sqrt{2}}\right).\sqrt{5-2\sqrt{6}}\\=\left(\dfrac{10(\sqrt{6}+1)}{(\sqrt{6}-1)(\sqrt{6}+1)}-\dfrac{\sqrt{6}(\sqrt{5}+2)}{\sqrt{5}+2}\right)\sqrt{(\sqrt{3}-\sqrt{2})^2}\\=(2(\sqrt{6}+1)-\sqrt{6}).(\sqrt{3}-\sqrt{2})\\=(\sqrt{6}-2)(\sqrt{3}-2)\\=\sqrt{2}(\sqrt{3}-\sqrt{2})^2=\sqrt{2}(5-2\sqrt{6})\\=5\sqrt{2}-4\sqrt{3}$
Hãy giúp mọi người biết câu trả lời này thế nào?
Bảng tin