

Hãy luôn nhớ cảm ơn và vote 5*
nếu câu trả lời hữu ích nhé!

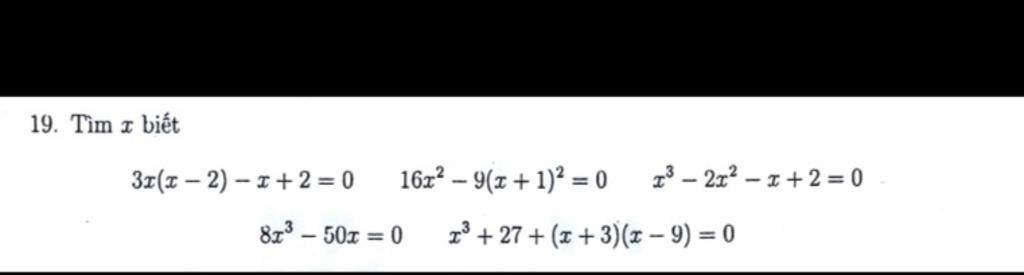
Đáp án:
$x=2$ hoặc $x=\pm1$
$x=0$ hoặc $x=\pm\dfrac{5}{2}$
$x=0$ hoặc $x=2$ hoặc $x=-3$
Giải thích các bước giải:
$x^3-2x^2-x+2=0\\⇔x^2(x-2)-(x-2)=0\\⇔(x-2)(x^2-1)=0\\⇔(x-2)(x-1)(x+1)=0\\⇔\left[\begin{array}{l}x=2\\x=1\\x=-1\end{array}\right.$
Vậy $x=2$ hoặc $x=\pm1$
$8x^3-50x=0\\⇔2x(4x^2-25)=0\\⇔2x(2x-5)(2x+5)=0\\⇔\left[\begin{array}{l}x=0\\x=\dfrac{5}{2}\\x=-\dfrac{5}{2}\end{array}\right.$
Vậy $x=0$ hoặc $x=\pm\dfrac{5}{2}$
$x^3+27+(x+3)(x-9)=0\\⇔(x+3)(x^2-3x+9)+(x+3)(x-9)=0\\⇔(x+3)(x^2-3x+9+x-9)=0\\⇔(x+3)(x^2-2x)=0\\⇔x(x+3)(x-2)=0\\⇔\left[\begin{array}{l}x=0\\x=-3\\x=2\end{array}\right.$
Vậy $x=0$ hoặc $x=2$ hoặc $x=-3$
Hãy giúp mọi người biết câu trả lời này thế nào?
Bảng tin