

Hãy luôn nhớ cảm ơn và vote 5*
nếu câu trả lời hữu ích nhé!

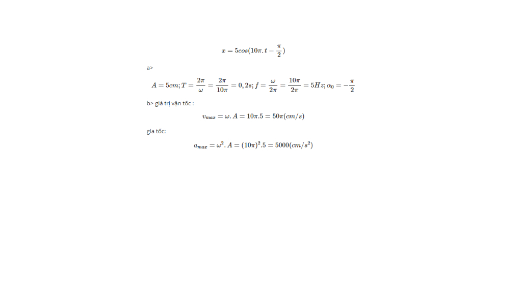
Đáp án:
a. Biên độ, chu kỳ và pha ban đầu là:
\[\begin{gathered}
A = 5cm \hfill \\
T = \frac{{2\pi }}{\omega } = \frac{{2\pi }}{{10\pi }} = 0,5s \hfill \\
{\varphi _o} = \frac{\pi }{2} \hfill \\
\end{gathered} \]
b. Ta có:
\[v = \frac{{dx}}{{dt}} = - 5.10\pi \sin \left( {10\pi t + \frac{\pi }{2}} \right) = - 50\pi \sin \left( {10\pi t + \frac{\pi }{2}} \right) \Rightarrow {v_{\max }} = 50\pi \left( {cm/s} \right)\]
Hãy giúp mọi người biết câu trả lời này thế nào?
Bảng tin
150
3688
203
cho chuyên gia hay nhất nhé