

Hãy luôn nhớ cảm ơn và vote 5*
nếu câu trả lời hữu ích nhé!
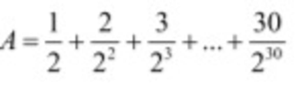
2A=1+$\frac{2}{2}$+ $\frac{3}{2^{2}}$+...+ $\frac{30}{2^{29}}$
2A-A=(1+$\frac{2}{2}$+ $\frac{3}{2^{2}}$+...+ $\frac{30}{2^{29}}$)-($\frac{1}{2}$+ $\frac{2}{2^{2}}$+ $\frac{3}{2^{3}}$+...+ $\frac{30}{2^{30}}$ )
A=1+$\frac{1}{2}$+ $\frac{1}{2^{2}}$+...+ $\frac{1}{2^{29}}$- $\frac{30}{2^{30}}$
Đặt B=1+$\frac{1}{2}$+ $\frac{1}{2^{2}}$+...+ $\frac{1}{2^{29}}$
2B=2+1+$\frac{1}{2}$+ $\frac{1}{2^{2}}$+...+ $\frac{1}{2^{28}}$
2B-B=(2+1+$\frac{1}{2}$+ $\frac{1}{2^{2}}$+...+ $\frac{1}{2^{28}}$)-(1+$\frac{1}{2}$+ $\frac{1}{2^{2}}$+...+ $\frac{1}{2^{29}}$)
B=2-$\frac{1}{2^{29}}$=$\frac{2^{30}-1}{2^{29}}$
⇒A=$\frac{2^{30}-1}{2^{29}}$- $\frac{30}{2^{30}}$= $\frac{2^{31}-2-30}{2^{30}}$= $\frac{2^{31}-32}{2^{30}}$ =$\frac{2^{31}-2^{5}}{2^{30}}$= $\frac{2^{26}-1}{2^{25}}$
Hãy giúp mọi người biết câu trả lời này thế nào?
Bảng tin