

Hãy luôn nhớ cảm ơn và vote 5*
nếu câu trả lời hữu ích nhé!
Đáp án:
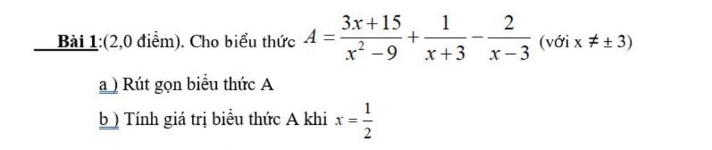
Bài `1`:
`a) A = (3x + 15)/(x^2 - 9) + 1/(x + 3) -2/(x - 3) (x \ne \pm 3)`
` = (3x + 15)/((x-3)(x+3)) + 1/(x + 3) - 2/(x-3)`
` = ( 3x + 15 + x - 3 - 2(x + 3) )/((x-3)(x+3))`
` = ( 3x + 15 + x - 3 - 2x - 6)/((x-3)(x+3))`
` = ( 2x + 6)/((x-3)(x+3))`
` = ( 2(x + 3))/((x-3)(x+3))`
` = 2/(x - 3)`
`b)` Thay `x = 1/2` vào biểu thức `A` ,ta được:
`A = 2/(1/2 - 3)`
`= 2/(-5/2)`
` = -4/5`
Vậy `A = -4/5` tại `x = 1/2`
Hãy giúp mọi người biết câu trả lời này thế nào?

Đáp án:
`a)A=2/(x-3)`
`b)x=1/2<=>A=-4/5`
Giải thích các bước giải:
Bài `1)`
`a)A=(3x+15)/(x^2-9)+1/(x+3)-2/(x-3)`
`<=>(3x+15)/((x-3)(x+3))+(x-3)/((x+3)(x-3))-(2(x+3))/((x-3)(x+3))`
`<=>(3x+15+x-3-2x-6)/((x-3)(x+3))`
`<=>(2x+6)/((x-3)(x+3))`
`<=>(2(x+3))/((x+3)(x-3))`
`<=>2/(x-3)`
Vậy `A=2/(x-3)`
`b)` Thay `x=1/2` vào đa thức `A,` ta được :
`1/2-3=(1-6)/2=-5/2`
`A=2/(x-3)=2/((-5)/2)=2.2/(-5)=-4/5`
Vậy `x=1/2<=>A=-4/5`
`@nguyen``nam500#hoidap247`
Hãy giúp mọi người biết câu trả lời này thế nào?
Bảng tin