

Hãy luôn nhớ cảm ơn và vote 5*
nếu câu trả lời hữu ích nhé!
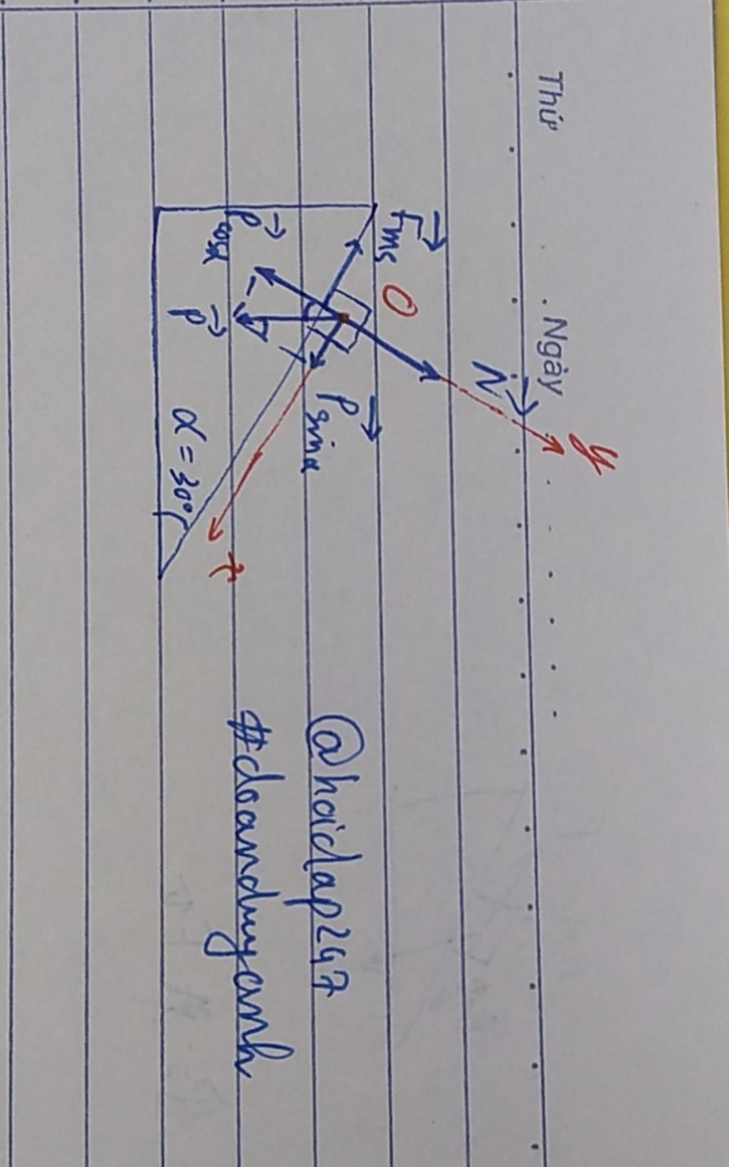
Hình là của câu 5
Đáp án:
Câu 1: $p=0,025(kgm/s)$
Câu 2: $\Delta p=8(kgm/s)$
Câu 3: $\Delta p=2(kgm/s)$
Câu 4: $A=1000(J)$
Câu 5: $A_{ms}=-\dfrac{\sqrt{3}}{4}(J)$
Giải thích các bước giải:
Câu 1:
Tóm tắt
$m=50g=0,05kg$
$v=50cm/s=0,5m/s$
$p=?$
Giải
+Động lượng của vật là:
$p=mv=0,05.0,5=0,025(kgm/s)$
Câu 2:
Tóm tắt
$F=4N$
$\Delta t=2s$
$\Delta p=?$
Giải
+Độ biến thiên động lượng bằng xung của lực:
$\Delta p=F \Delta t=4.2=8(kgm/s)$
Câu 3:
Tóm tắt
$m=1kg$
$\Delta t=0,2s$
$\Delta p=?$
Giải
+Lực tác dụng lên vật là:
$F=P=mg=1.10=10(N)$
+Độ biến thiên động lượng bằng xung của lực:
$\Delta p=F \Delta t=10.0,2=2(kgm/s)$
Câu 4:
Tóm tắt
$\alpha=60^o$
$F=100N$
$s=20m$
$A=?$
Giải
+Công của lực kéo khi thùng gỗ trượt được quãng đường $20m$ là:
$A=Fs cos\alpha=100.20.cos60^o=1000(J)$
Câu 5:
Tóm tắt
$m=100g=0,1kg$
$s=5m$
$\alpha=30^o$
$g=10m/s^2$
$\mu = 0,1$
$A_{ms}=?$
Giải
+Định luật $II$ Niu-tơn:
$\vec{P}+\vec{N}+\vec{F_{ms}}=m\vec{a}$ (*)
+Chiếu (*) lên $Oy$:
$N=Pcos\alpha$
$⇒F_{ms}=\mu N=\mu Pcos\alpha=\mu mg cos\alpha$
$⇔F_{ms}=0,1.0,1.10.cos30^o$
$⇔F_{ms}=\dfrac{\sqrt{3}}{20}(N)$
+Công của lực ma sát là:
$A_{ms}=-F_{ms}s=-\dfrac{\sqrt{3}}{20}.5=-\dfrac{\sqrt{3}}{4}(J)$
Hãy giúp mọi người biết câu trả lời này thế nào?
![]()
Bảng tin