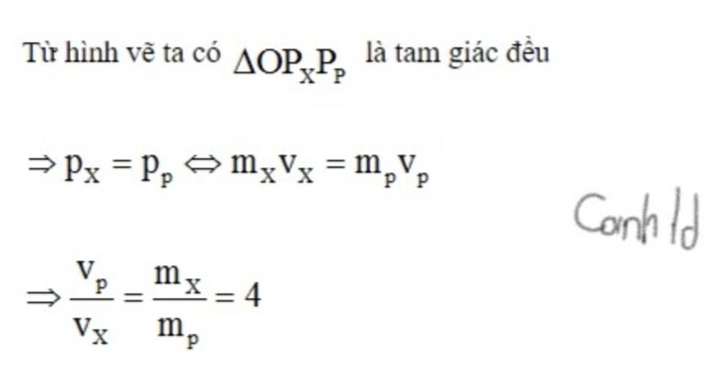
Câu 128. Bắn một proton vào hạt nhân Li đứng yên. Phản ứng tạo ra hai hạt nhân X giống nhau bay ra
với cùng tốc độ và theo các phương hợp với phương tới của proton các góc bằng nhau là 60°.
Lấy khối lượng của mỗi hạt nhân tính theo đơn vị u bằng số khối của nó. Ti số giữa tốc độ của
pr ...