

Hãy luôn nhớ cảm ơn và vote 5*
nếu câu trả lời hữu ích nhé!
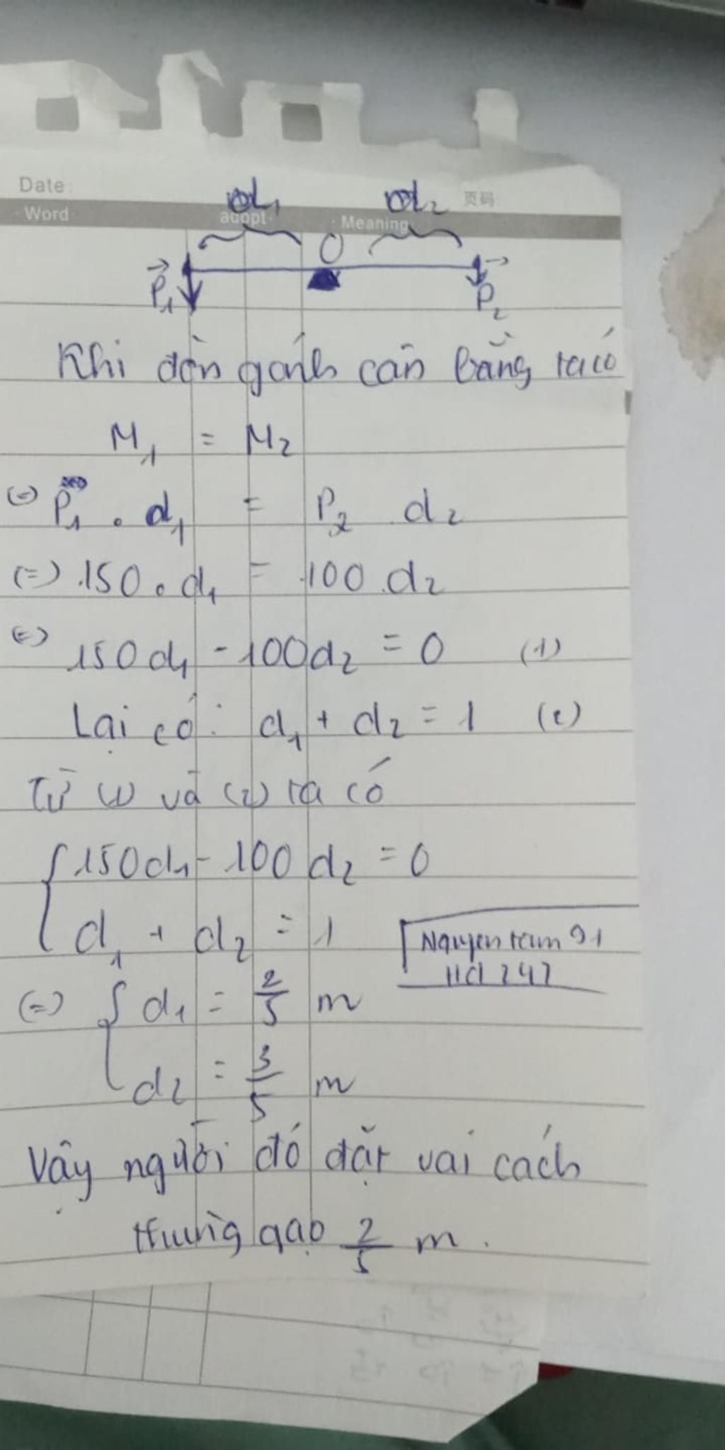
Tóm tắt
` P_1 = 150 `
` P_2 = 100 `
` d = 1 `
` P = ? `
` d_1 = ? `
` d_2 = 1 - d_1 = ? `
Do trọng lượng của thùng gạo và thùng ngô tác dụng lên vai người đó có cùng phương, cùng hướng nên người đó phải chịu một lực là :
` P = P_1 + P_2 = 150 + 100 = 250 N `
Áp dụng quy tắc momen lực, để hai vật cân bằng thì :
` M_1 = M_2 `
` ⇒ P_1 . d_1 = P_2 . d_2 `
` ⇔ 150 . d_2 = 100 . ( 1 - d_1 ) `
` ⇔ 150 . d_1 = 100 - 100 . d_1 `
` ⇔ 250 . d_1 = 100 `
` ⇔ d_1 = 100 : 250 `
` ⇔ d_1 = 0,4 ( m ) `
Vậy người đó phải đặt vật cách thùng gạo ` 0,4 m `
Hãy giúp mọi người biết câu trả lời này thế nào?
Bảng tin