Tham Gia Group Dành Cho Lớp 11 Chia Sẻ, Trao Đổi Tài Liệu Miễn Phí
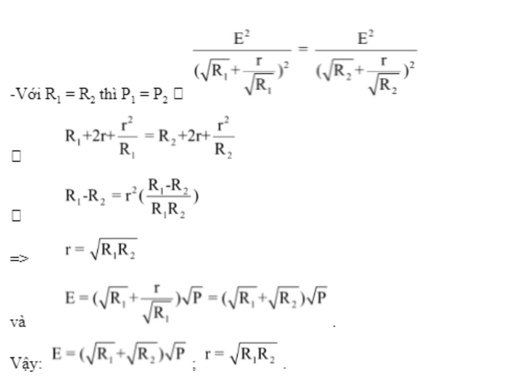
Bài 35: a/ Khi điện trở mạch ngoài của một nguồn điện là Rị hoặc R2 thì công suất mạch ngoài có củung
giá trị. Tính E; r của nguồn theo R1, R2 và công suất P
b/ Nguồn điện trên có điện trở mạch ngoài R. Khi mắc them Rx song song R thì công suất mạch ngoài
r
không đổi. Tìm Rx? ÐS: a/ r ...