Đăng nhập để hỏi chi tiết


Hãy luôn nhớ cảm ơn và vote 5*
nếu câu trả lời hữu ích nhé!
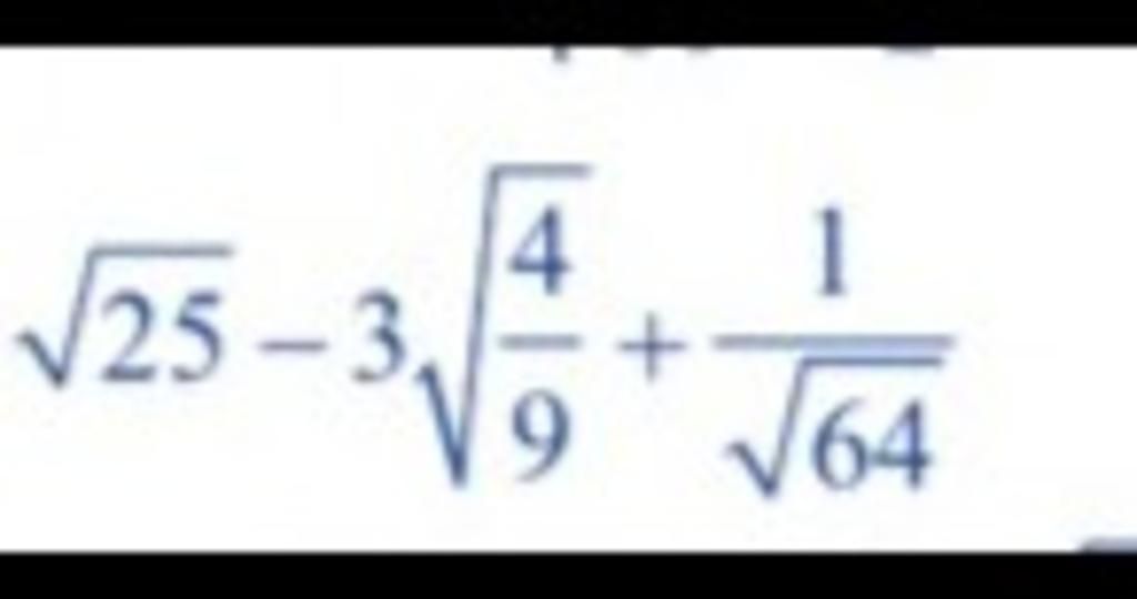
$\sqrt{25}$ - 3$\sqrt{\dfrac{4}{9}}$ + $\sqrt{\dfrac{1}{64}}$
= 5 - 3.$\dfrac{2}{3}$ + $\dfrac{1}{8}$
= 5 - 2 + $\dfrac{1}{8}$
= 3 + $\dfrac{1}{8}$
= $\dfrac{24}{8}$ + $\dfrac{1}{8}$
= $\dfrac{25}{8}$
Chúc bạn học tốt
Hãy giúp mọi người biết câu trả lời này thế nào?

Đáp án + giải thích các bước giải:
`\sqrt{25} - 3 . \sqrt{4/9} + 1/(\sqrt{64})`
` = 5 - 3 . 2/3 + 1/8`
` = 5 - 2 + 1/8`
` = 3 + 1/8`
` = 24/8 + 1/8`
` = 25/8`
Hãy giúp mọi người biết câu trả lời này thế nào?

Bảng tin