Đăng nhập để hỏi chi tiết


Hãy luôn nhớ cảm ơn và vote 5*
nếu câu trả lời hữu ích nhé!
Đáp án+Giải thích các bước giải:
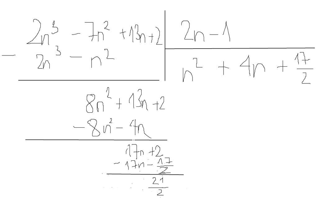
`(2n^3-7n^2+13n+2) / (2n - 1)`
`=(2n^3-6n^2-n^2+3n+10n+2) / (2n - 1)`
`=(2n(n^2-3n)-(n^2-3n)+10n+2) / (2n - 1)`
`=((2n-1)(n^2-3n)+10n+2) / (2n - 1)`
`=((2n-1)(n^2-3n)) / (2n - 1)+(10n+2)/ (2n - 1)`
`=n^2-3n+(10n+2)/ (2n - 1)`
Hãy giúp mọi người biết câu trả lời này thế nào?

Bảng tin
10609
674
8451
Bạn không hiểu chỗ nào hỏi mình nhé