

Hãy luôn nhớ cảm ơn và vote 5*
nếu câu trả lời hữu ích nhé!
Đáp án + Giải thích các bước giải:
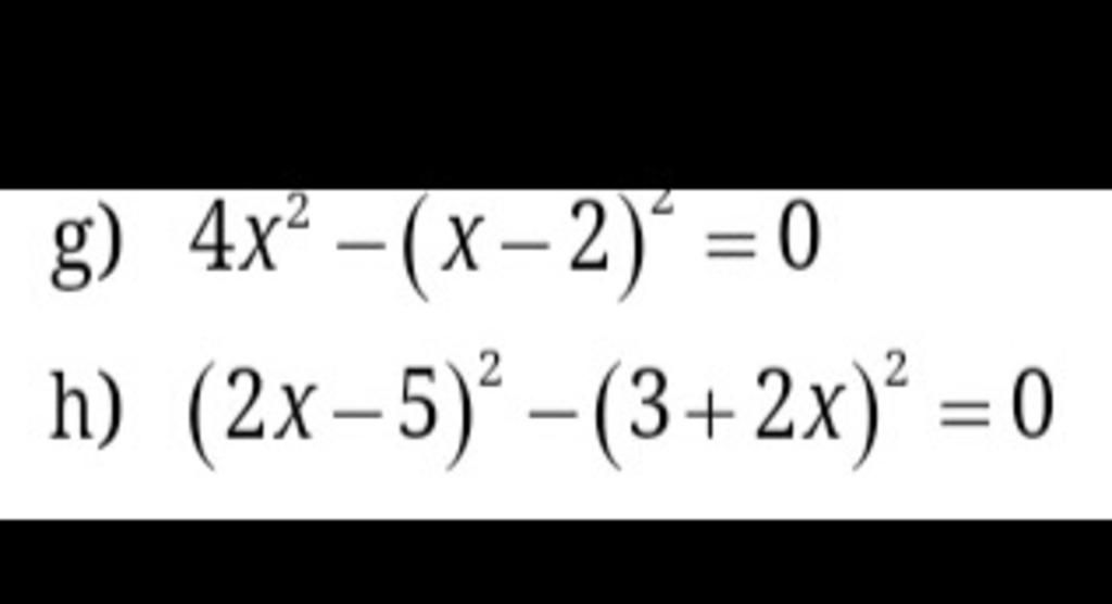
a)
`4x² - (x-2)² = 0`
`4x² - x² + 4x - 4 = 0`
`3x² + 4x - 4 = 0`
`3x² + 6x - 2x - 4 = 0`
`(3x - 2)(x+2) = 0`
\(\left[ \begin{array}{l}x=\dfrac{2}{3}\\x=-2\end{array} \right.\)
b)
`(2x-5)² - (3+2x)² = 0`
`(2x - 5 - 3 - 2x)(2x-5+3+2x) = 0`
`-8(4x - 2) = 0`
`4x = 2`
`x = \frac{1}{2}`
Hãy giúp mọi người biết câu trả lời này thế nào?
![]()
g,
`4x^2-(x-2)^2=0`
`⇔(2x)^2-(x-2)^2=0`
`⇔(2x-x+2)(2x+x-2)=0`
`⇔(x+2)(3x-2)=0`
`⇔x+2=0⇒x=-2`
`3x-2=0⇒3x=2⇒x=2/3`
Vậy `x=-2` hoặc `x=2/3`
h,
`(2x-5)^2-(3+2x)^2=0`
`⇔(2x-5-3-2x)(2x-5+3+2x)=0`
`⇔(-8)(4x-2)=0`
`⇔4x-2=0`
`⇔4x=2`
`⇔x=1/2`
Vậy `x=1/2`
Hãy giúp mọi người biết câu trả lời này thế nào?
Bảng tin