Đăng nhập để hỏi chi tiết


Hãy luôn nhớ cảm ơn và vote 5*
nếu câu trả lời hữu ích nhé!

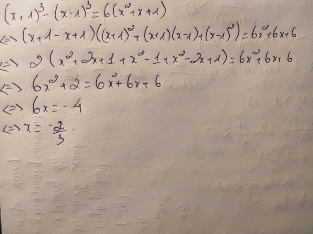
(x+1)³ - (x-1)³ = 6(x²+x+1)
⇔x³+3x²+3x+1-x³+3x²-3x+1-6(x²+x+1)=0
⇔6x²+2-6(x²+x+1)=0
⇔2(3x²+1)-2(3x²+3x+3)=0
⇔2(3x²+1-3x²-3x-3)=0
⇔2(-3x-2)=0
⇔-3x-2=0
⇔-3x=2
⇔x=-2/3
Vậy S={-2/3}
Hãy giúp mọi người biết câu trả lời này thế nào?
Bảng tin