Đăng nhập để hỏi chi tiết


Hãy luôn nhớ cảm ơn và vote 5*
nếu câu trả lời hữu ích nhé!
Đáp án + Giải thích các bước giải:
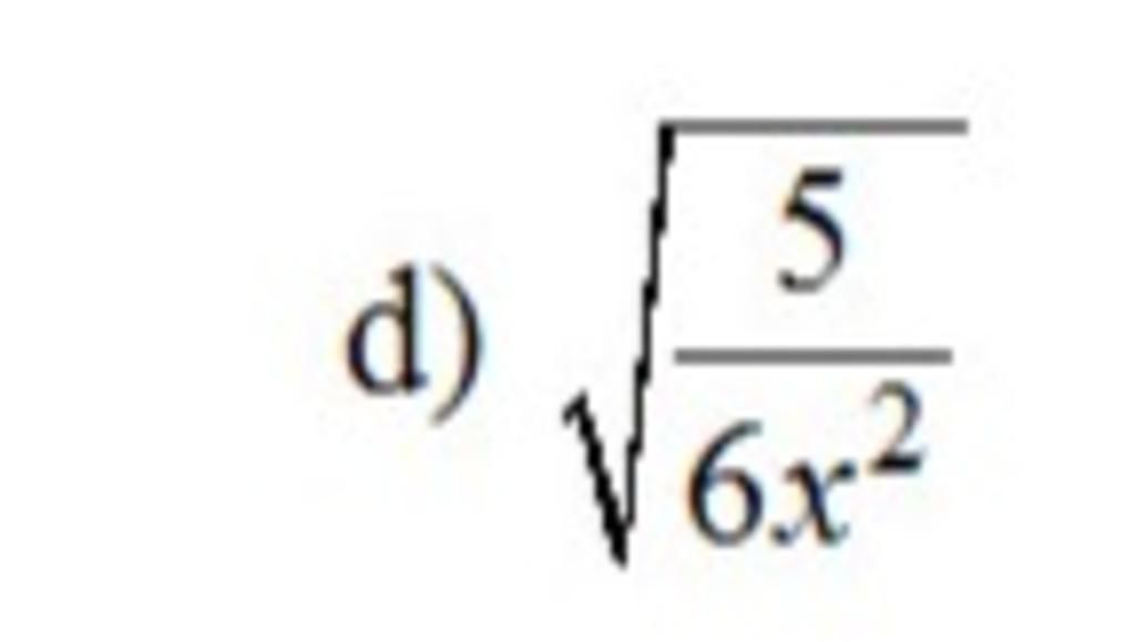
d)
để căn thức có nghĩa
`⇔ \frac{5}{6x²} ≥ 0`
`⇔ 6x² \ne 0`
`⇔ x\ne 0 `
vậy `x\ne 0` thì căn thức có nghĩa
Hãy giúp mọi người biết câu trả lời này thế nào?
Bảng tin
2499
3491
4140
Anh cho em sửa lại bài đc k ạ ?
1834
22631
2598
sửa đi e
2499
3491
4140
Vângg
67
1083
46
cho em vào nhóm với