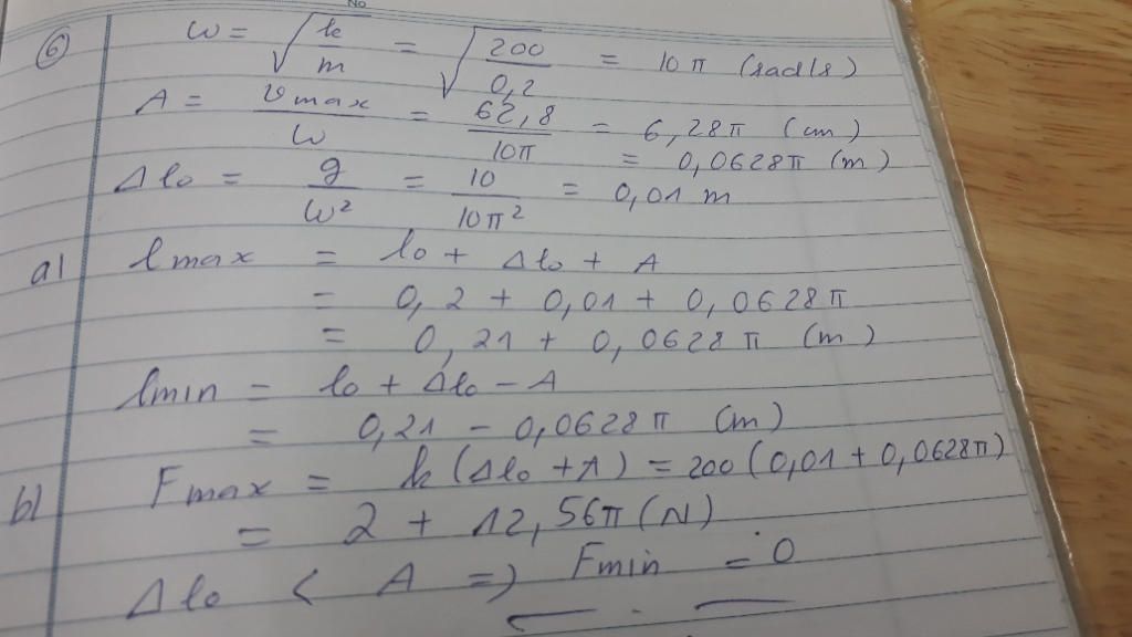
Một con lắc lò xo treo thẳng đứng, lò xo có chiều dài tự nhiên là 20cm, độ cứng k = 200N/m vật nặng có khối lượng 200g, vật dao động với vận tốc cực đại là 62,8 cm/s. Lấy g = π2 =10 m/s2 b. Tính chiều dài cực đại và cực tiểu của lò xo.Tính lực đàn hồi cực đại, cực tiểu của lò xo trong quá trình dao động.