Vui lòng chỉ chọn một câu hỏi
Hoidap247.com Nhanh chóng, chính xác
+
Danh mục mới
0
4
Hãy luôn nhớ cảm ơn và vote 5* nếu câu trả lời hữu ích nhé!
1035
3020
391
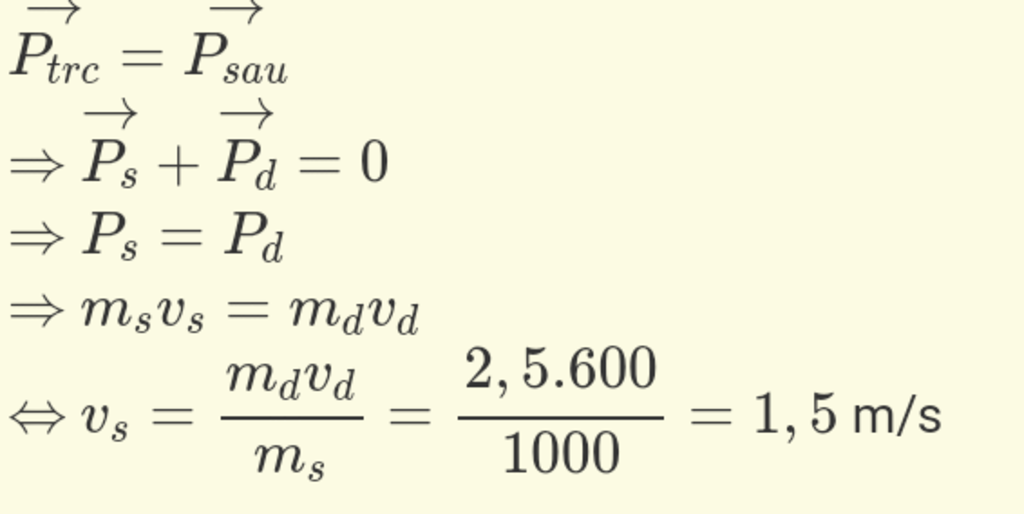
Đáp án:
Giải thích các bước giải:
Hãy giúp mọi người biết câu trả lời này thế nào?
1351
9755
692
1,5m/s
Bảng tin
Gửi yêu cầu Hủy