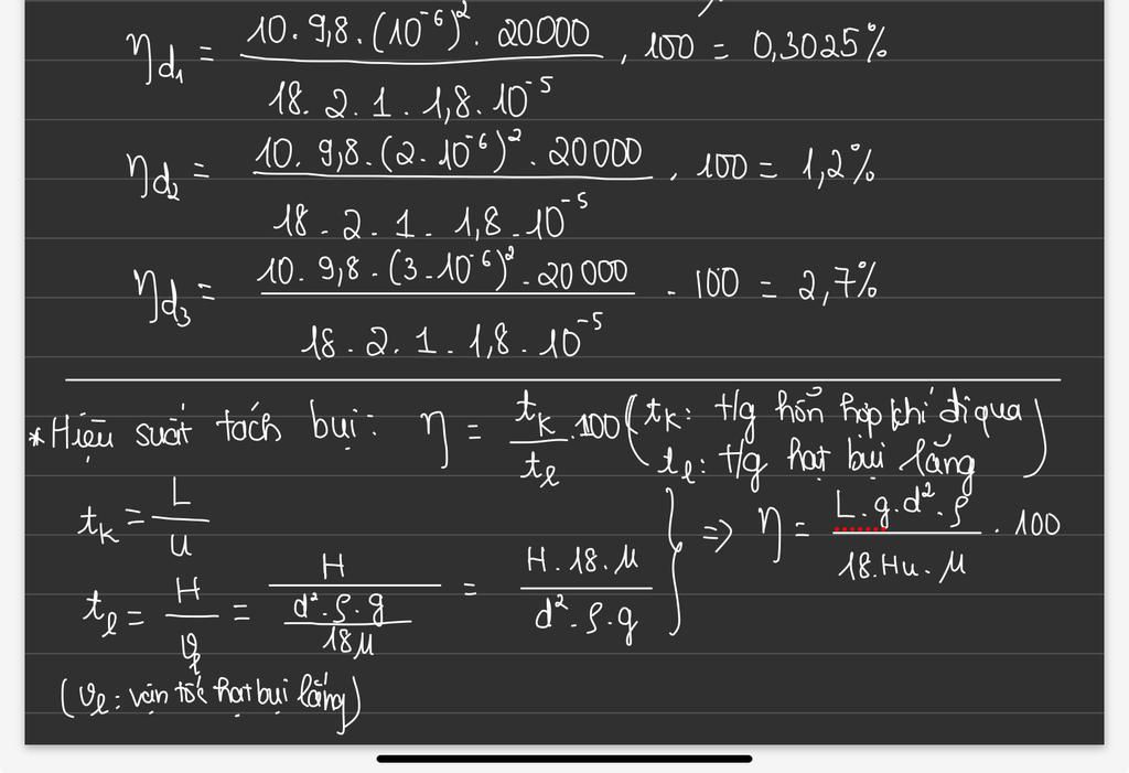
Tính hiệu suất tách bụi của một hỗn hợp khí đi qua phòng lắng (cả chế độ chảy
rối và chảy dòng) có H = 2m, L=10m, vận tốc hỗn hợp khí đi trong phòng lắng là
1m/s, bụi có khối lượng riêng ρ=20000 kg/m3, độ nhớt µ = 1,8.10-5kg/ms, d=1 µ m, d2=2µm, d3=3 µm. Cho nhận xét.