Đăng nhập để hỏi chi tiết


Hãy luôn nhớ cảm ơn và vote 5*
nếu câu trả lời hữu ích nhé!


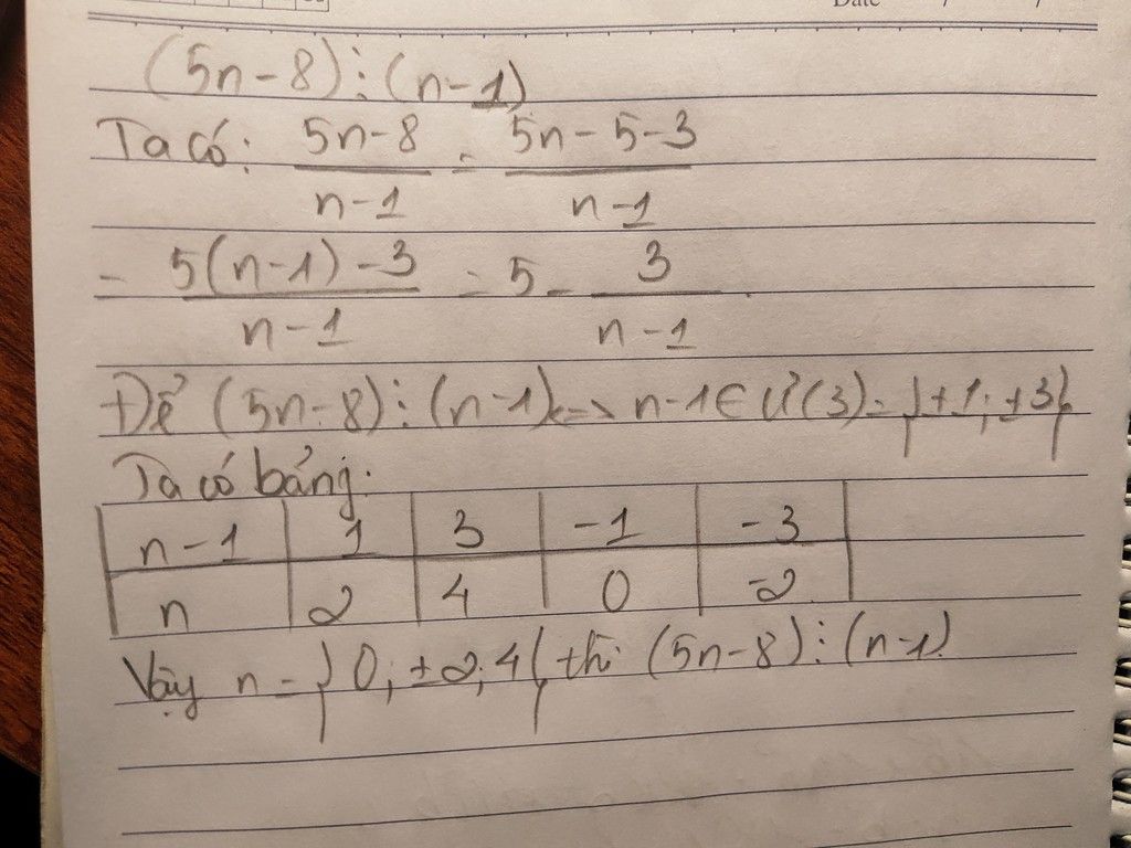
5n-8 chia hết cho n-1
=> 5n-5 -3 chia hết cho n-1
=> 5(n-1) -3 chia hết cho n-1
Vì 5(n-1) chia hết cho n-1
nên -3 chia hết cho n-1
=> n-1 là ước của -3
Ư(-3)= {1; -1; 3; -3}
Khi n-1=1 => n=2
Khi n-1=-1 => n=0
Khi n-1=3 => n=4
Khi n-1= -3 => n= -2
Vậy n thuộc {2; 0; 4; -2}
Hãy giúp mọi người biết câu trả lời này thế nào?
Bảng tin
0
81
0
thanks mấy bạn