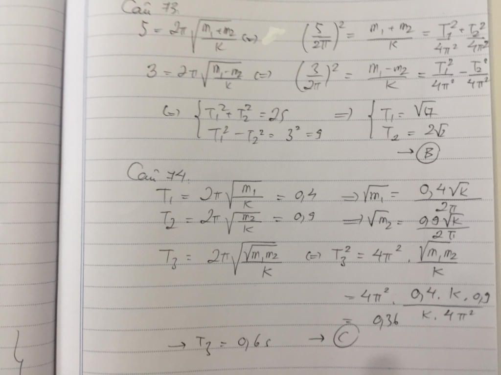
Câu73. Một con lắc lò xo có độ cứng k. Lần lượt treo vào lò xo các vật có khôi lượng: m1, m2, m3 = m1 + m2.,
m4 = m1 - m2. Ta thấy chu kì dao động của các vật trên lân lượt là: T1, T2, T3 = 5s; T4 = 3s. Chu kì T1, T2 lần lượt
A. /15 (s); 2 v/2 (s). B.
Câu74. Khi gắn quả cầu mị vào lò x ...
Xem thêm