

Hãy luôn nhớ cảm ơn và vote 5*
nếu câu trả lời hữu ích nhé!
`1)(5x+3yz)²`
`=(5x²)+2.5x.3yz+(3yz)²`
`=25x²+30xyz+9y²z²`
`2)(y³x-3ab)²`
`=(y³x)²-2.y³x.3ab+(3ab)²`
`=y^6x²-6y³xab+9a²b²`
`3)(x²-6z)(x²+6z)`
`=(x²)^2-(6z)²`
`=x^4-36z²`
`4)(2x-3)³`
`=(2x)³-3.(2x)².3+3.2x.3²+3³`
`=8x³-36x²+54x+27`
`5)(a+2b)³`
`=a³+3.a².2b+3.a.(2b)²+(2b)³`
`=a³+6a²b+12ab²+8b³`
`6)(5x+2y)²`
`=(5x)²+2.5x.2y+(2y)²`
`=25x²+20xy+4y²`
`7)(-3x+2)²`
`=(-3x)²+2.(-3x).2+2²`
`=9x²-12x+4`
`8)(2/3x+1/3y)^2`
`=(2/3x)^2 +2. 2/3x . 1/3y+(1/3y)^2`
`=4/9x²+4/9xy+1/9y²`
`9)(2x-5/2y)^2`
`=(2x)²-2.2x. 5/2y+(5/2y)^2`
`=4x²-10xy+25/4y²`
`10)(x+4/3y²)^2`
`=x²+2.x. 4/3y²+(4/3y²)^2`
`=x²+8/3xy²+16/9y^4`
`11)(2x²+5/3y)^2`
`=(2x²)^2+2.2x². 5/3y+(5/3y)^2`
`=4x^4+20/3x²y+25/9y²`
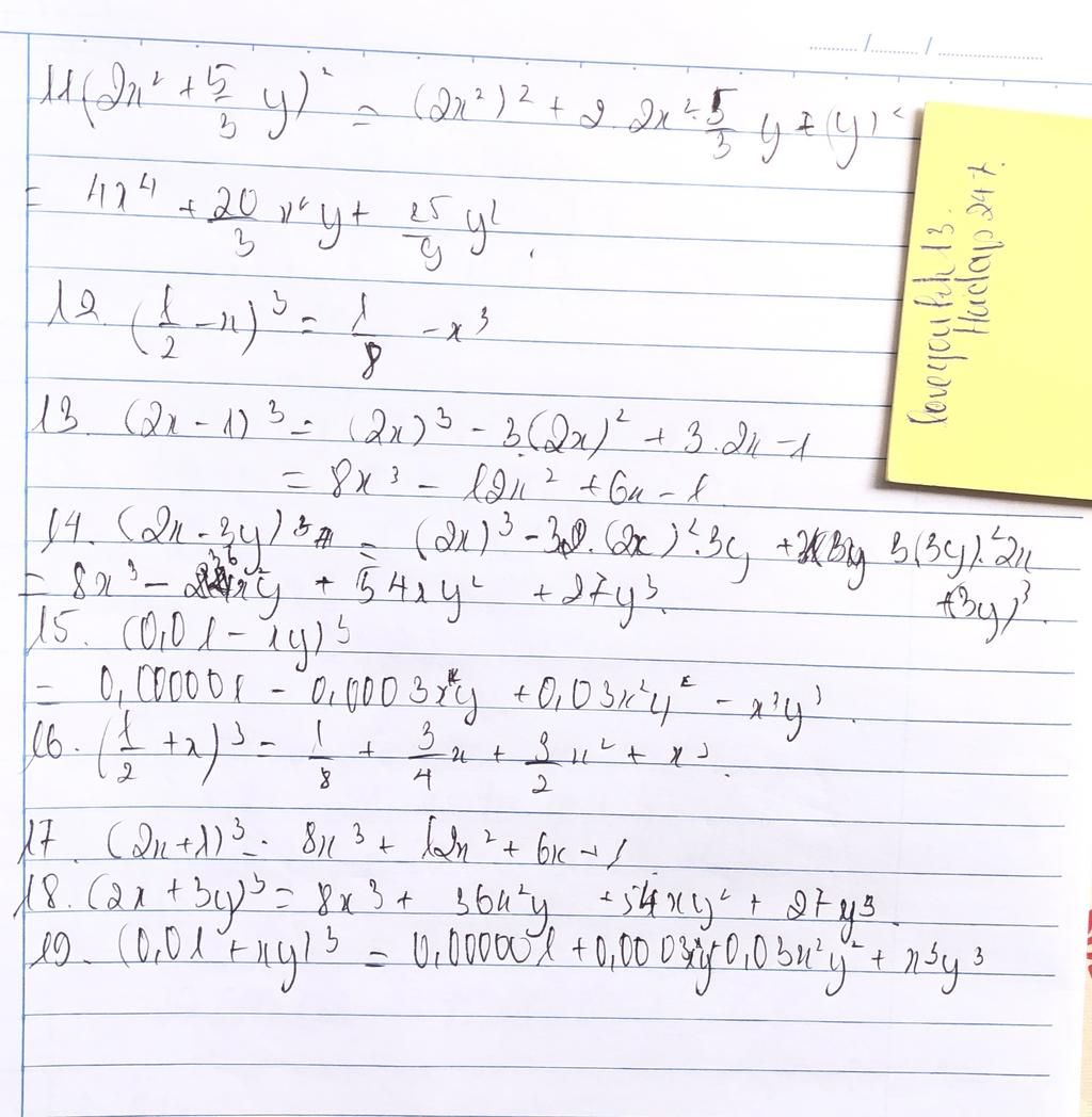
`12)(1/2-x)^3`
`=(1/2)^3-3.(1/2)^2 .x+3 . 1/2 .x²-x³`
`=1/8-3/4x+3/2x²-x³`
`13)(2x-1)³`
`=(2x)³-3.(2x)².1+3.2x.1²-1³`
`=8x³-12x²+6x-1`
`14)(2x-3y)³`
`=(2x)³-3.(2x)².3y+3.2x.(3y)²-(3y)³`
`=8x³-36x²y+54xy²-27y³`
`15)(0,01-xy)³`
`=0,01³-3.0,01².xy+3.0,01.(xy)²-(xy)³`
`=0,000001-0,0003xy+0,03x²y²-x³y³`
`16)(1/2+x)³`
`=(1/2)^3 +3.(1/2)^2 .x+3. 1/2 .x²+x³`
`=1/8+3/4x+3/2x²+x³`
`17)(2x+1)³`
`=(2x)³+3.(2x)².1+3.2x.1²+1³`
`=8x³+12x²+6x+1`
`18)(2x+3y)³`
`=(2x)³+3.(2x)².3y+3.2x.(3y)²+(3y)³`
`=8x³+36x²y+54xy²+27y³`
`19)(0,01+xy)³`
`=0,01³+3.0,01².xy+3.0,01.(xy)²+(xy)³`
`=0,000001+0,0003xy+0,03x²y²+x³y³`
Hãy giúp mọi người biết câu trả lời này thế nào?
![]()
Bảng tin
0
0
0
Cảm ơn nha 😊 bạn tự làm đk ạ?
3044
71926
2864
mk tự lm bn ạ