

Hãy luôn nhớ cảm ơn và vote 5*
nếu câu trả lời hữu ích nhé!
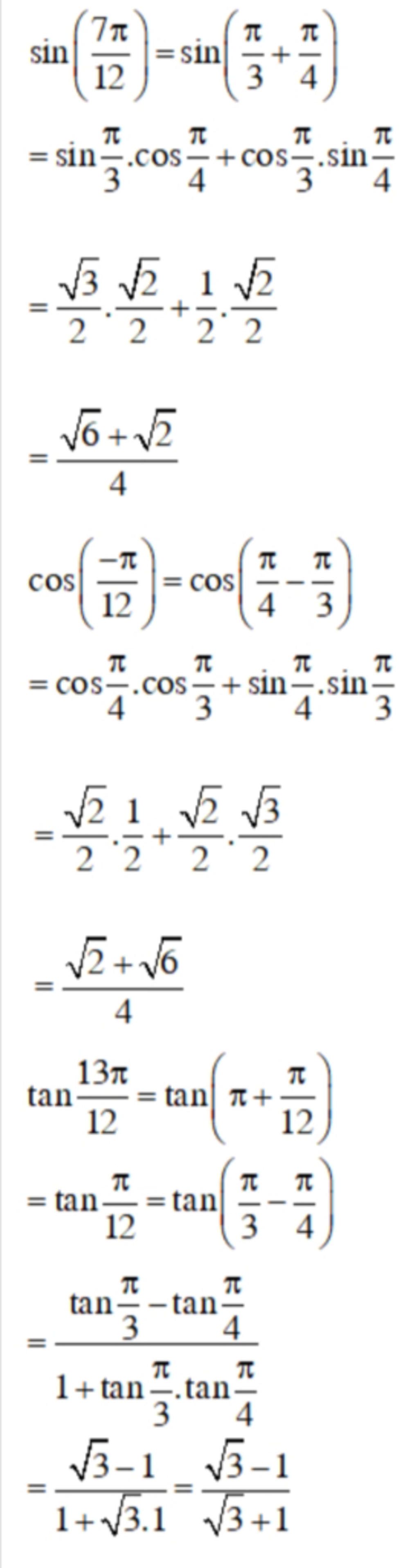
`sin((7π)/12)= sin(π/3 + π/4)`
`=cos(π/4) × sin(π/3) + cos(π/3) × sin(π/4)`
`=\sqrt[2]/2×\sqrt[3]/2 + 1/2×\sqrt[2]/2`
`=(\sqrt[2]+\sqrt[6])/4`
`cos(-(π)/12)=cos(π/4 - π/3)`
`=cos(π/4) × cos(π/3) + sin(π/3)× sin(π/4)`
`=\sqrt[2]/2×1/2+\sqrt[3]/2 ×\sqrt[2]/2`
`=(\sqrt[2]+\sqrt[6])/4`
`tan((13π)/12)=tan(π+π/12)`
`=tan(π/12)=tan(π/3 + π/4)`
`=(\sqrt[3]-1)/(sqrt[3]+1`
Hãy giúp mọi người biết câu trả lời này thế nào?
Đánh giá :............ + ❤❤❤❤❤
😛🤗😛
Không hiểu chỗ nào thì bình luận
Hãy giúp mọi người biết câu trả lời này thế nào?
Bảng tin