PH/HS Tham Gia Nhóm Lớp 10 Để Trao Đổi Tài Liệu, Học Tập Miễn Phí!
nhiệt độ của khối khi sẽ là bao nhiều ?
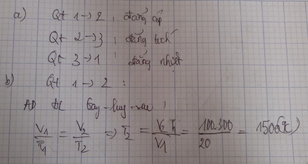
Câu 3: Một chất khí xác định ở trạng thái (1) biến đổi sang trạng thái (2) tới trạng thải
(3) rồi về trạng thái bạn đầu như hình vẽ.
a. Hãy xác định các quá trình biến đổi
khi trên từ (1) sang (2) tới (3) và về (1)?
b. Xác định thông số T2(K)?
né ...