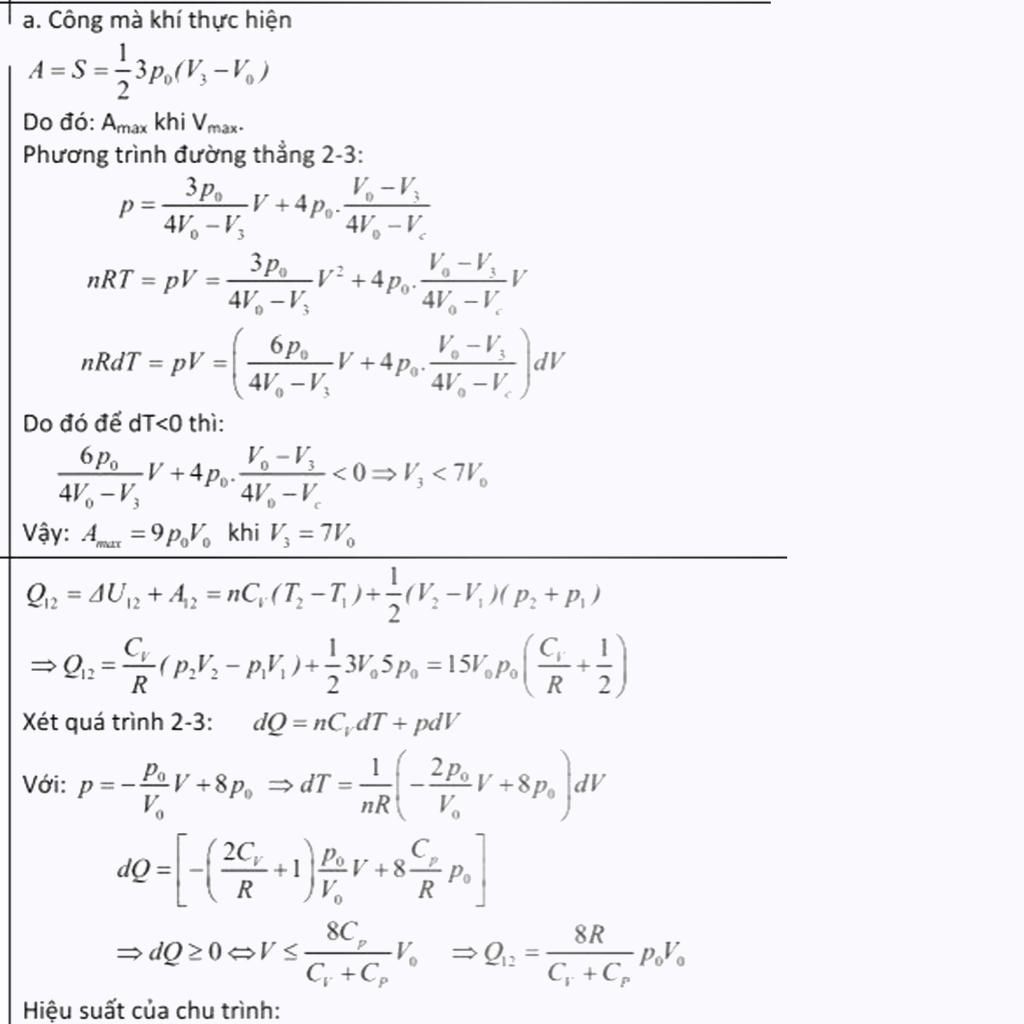
Một lượng khí lí tưởng lưỡng nguyên tử thực hiện một chu trình cho trên hình vẽ. Các trạng thái 1 và 2 là cố định, trạng thái 3 có thể thay đổi nhưng quá trình 3-1 luôn là đẳng áp.
Xác định công lớn nhất mà khí có thể thực hiện trong chu trình nếu nhiệt độ của khí trong quá trình 2-3 luôn giảm.
(GIúp em với ạ, hạn nộp bài là hôm nay rồi ;-;)
1234
32665
1797
ko hay cày đâu
2010
624
2001
vào team đi
1234
32665
1797
lười cày lắm
2010
624
2001
ukm
1234
32665
1797
nếu cần thì mk vào sau
2010
624
2001
okie
51
1108
49
Chị ơi em giải bài này v3 ra 16.v0 Em tính T1 theo T2 trước, rồi thế vào tỉ lệ của quá trình 3-1, từ đó suy ra được n = T3/T1 (n chứa ẩn V3). Rồi lập luận ra V3
51
1108
49
Chị ơi, quá trình 2-3 luôn tỏa nhiệt ạ, vì đề cho nhiệt độ 2-3 luôn giảm, nên hiệu suất không tính Q23 ạ