

Hãy luôn nhớ cảm ơn và vote 5*
nếu câu trả lời hữu ích nhé!
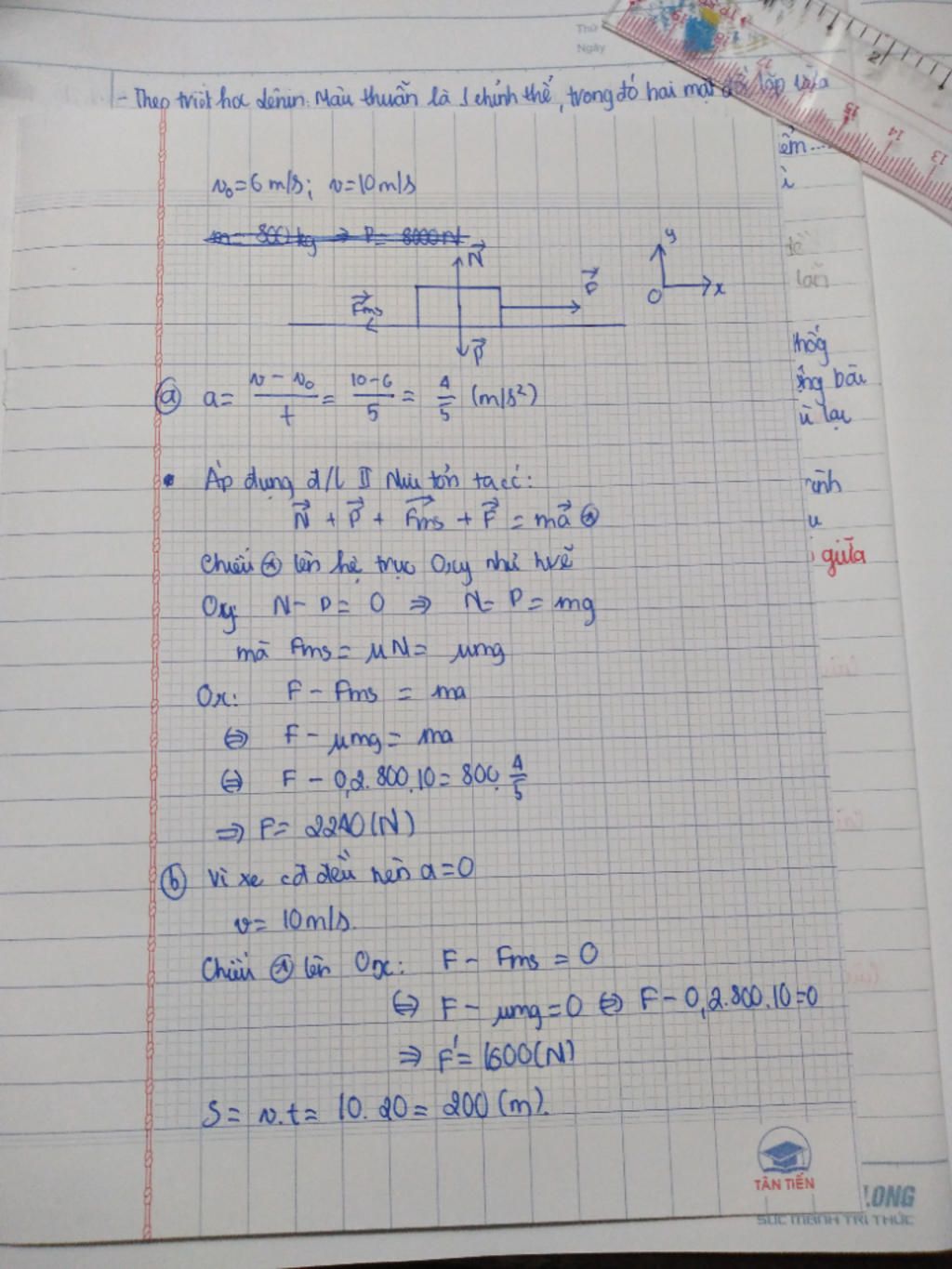
$m=800kg$
$v_{0}=6m/s$
$v=10m/s$
$t=5s$
$\mu=0,2$
$g=10m/s²$
-------------
a, Gia tốc của xe là:
$a=\dfrac{v-v_{0}}{t}=\dfrac{10-6}{5}=0,8m/s²$
Áp dụng định luật $II$ $Newton$, ta có:
$F-F_{ms}=m.a$
$⇒F=m.a+F_{ms}=m.a+m.g.\mu=800.0,8+800.10.0,2=2240N$
b, Vật chuyển động thẳng đều
$⇒a'=0$
Áp dụng định luật $II$ $Newton$, ta có:
$F'-F_{ms}=0$
$⇒F'=F_{ms}=m.g.\mu=800.10.0,2=1600N$
Quãng đường vật đi được là:
$s=v_{0}.t+\dfrac{1}{2}.a.t²+v.t'=6.5+\dfrac{1}{2}.0,8.5²+10.20=240m$
c, Gia tốc của xe khi hãm phanh là:
$a''=\dfrac{0-v}{t''}=\dfrac{0-10}{2}=-5m/s²$
Áp dụng định luật $II$ $Newton$, ta có:
$-F_{h}-F_{ms}=m.a''$
$⇒F_{h}=-F_{ms}-m.a''=-m.g.\mu-m.a''=-800.10.0,2+800.5=2400N$
Hãy giúp mọi người biết câu trả lời này thế nào?
Bảng tin