

Hãy luôn nhớ cảm ơn và vote 5*
nếu câu trả lời hữu ích nhé!

Đáp án:
37. A
38. D
39. A
40. C
41. B
42. D
Giải thích các bước giải:
37. A
`a_max=omega^2A=(20pi)^2.0,06=240`$m/s^2$
38. D
`W=1/2kA^2⇔2.10^-3=1/2 .10.A^2⇒A=0,02m=2cm`
`L=2A=2.2=4cm`
39. A
`W=1/2kA^2=1/2momega^2A^2=1/2. 0,4. 40^2. 0,08^2=2,048J`
40. C
`W_{đmax}=(mv_max^2)/2=(m.(omegaA)^2)/2=\frac{0,1.(40.0,08)^2}{2}=0,512J`
41. B
`W_t=1/2kA^2=1/2momega^2A^2=1/2. 0,2. 40^2. 0,08^2=1,024J`
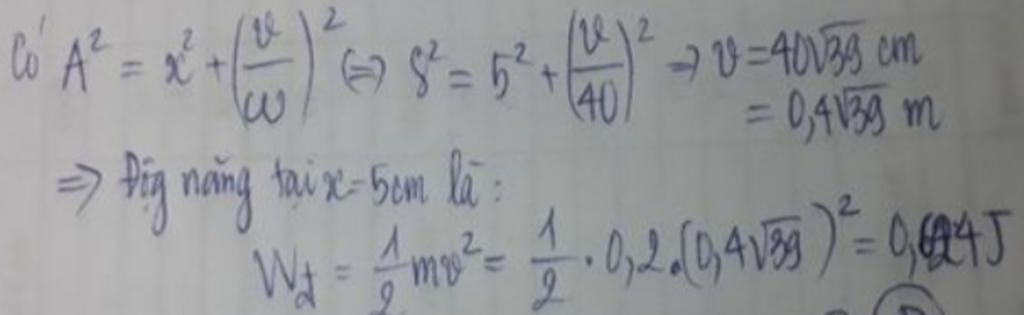
42. D
`omega=sqrt(k/m)⇒k=momega^2=0,2. 40^2=320`$N/m$
`W_đ=1/2k(A^2-x^2)=1/2 . 320 . (0,08^2-0,05^2)=0,624J`
Hãy giúp mọi người biết câu trả lời này thế nào?
Bảng tin