

Hãy luôn nhớ cảm ơn và vote 5*
nếu câu trả lời hữu ích nhé!

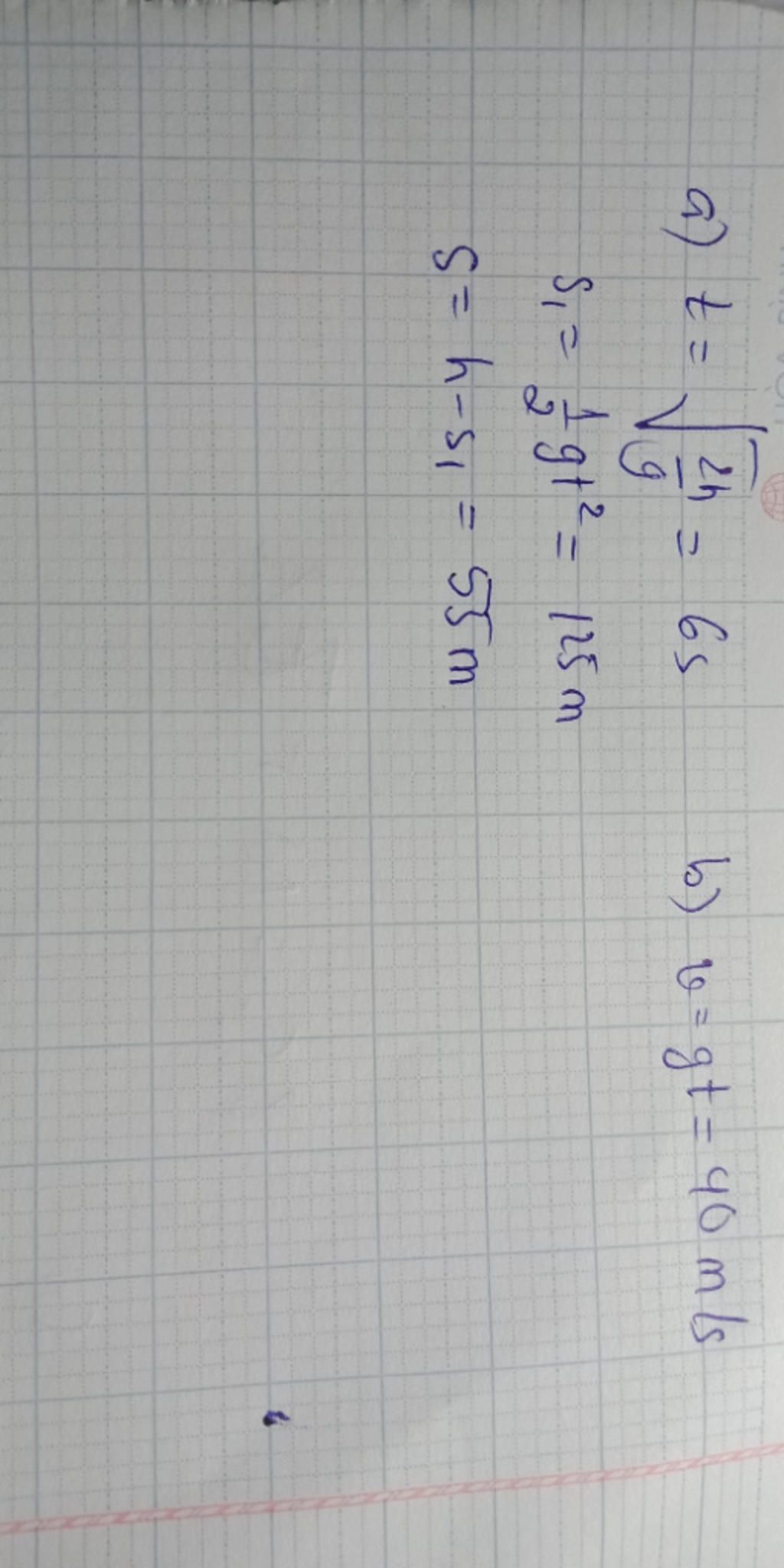
Đáp án:
\(\begin{array}{l}
a.s = 55m\\
b.v = 40m/s
\end{array}\)
Giải thích các bước giải:
a.
Thời gian rơi vật là:
\(t = \sqrt {\dfrac{{2h}}{g}} = \sqrt {\dfrac{{2.180}}{{10}}} = 6s\)
Quảng đường vật đi được trước giây cuối cùng là:
\({s_1} = \dfrac{1}{2}g{t^2} = 0,{5.10.5^2} = 125m\)
Quảng đường vật đi được trong giây cuối cùng là:
\(s = h - {s_1} = 180 - 125 = 55m\)
b.
Vận tốc của vật trước khi chạm đất 2s là:
\(v = gt = 10.4 = 40m/s\)
Hãy giúp mọi người biết câu trả lời này thế nào?
![]()
Bảng tin