Đăng nhập để hỏi chi tiết


Hãy luôn nhớ cảm ơn và vote 5*
nếu câu trả lời hữu ích nhé!

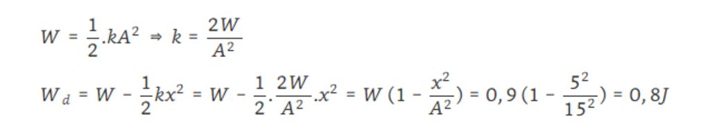
$A=15cm=0,15m$
$W=\dfrac{1}{2}kA^2$
$\Rightarrow 0,9=\dfrac{1}{2}k.0,15^2$
$\Leftrightarrow k=80(N/m)$
Tại $x=-5cm=-0,05m$:
$W_t=\dfrac{1}{2}kx^2=0,1J$
$\to W_d=0,9-0,1=0,8J$
Hãy giúp mọi người biết câu trả lời này thế nào?
Bảng tin
67
1424
50
Cảm ơn bn nha hihi
94
2221
134
Kcj ^^