

Hãy luôn nhớ cảm ơn và vote 5*
nếu câu trả lời hữu ích nhé!
Đáp án:
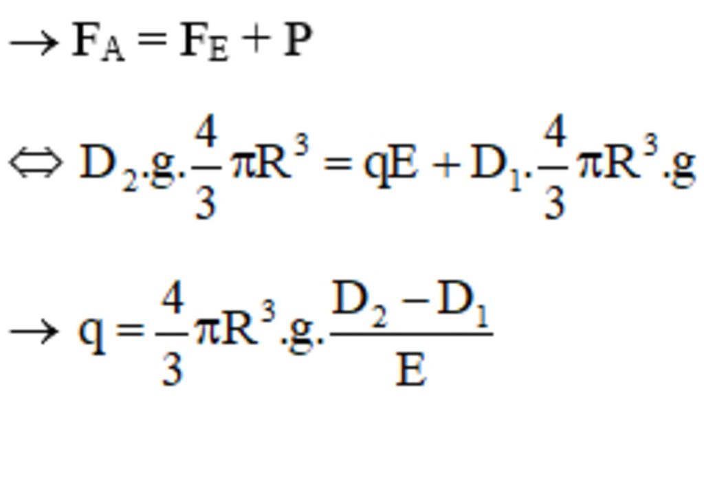
+ Khi giọt dầu nằm cân bằng thì hợp lực của lực điện trường, trọng lực và lực đẩy acsimet của không khí tác dụng lên giọt dầu phải bằng 0.
+ Vì q > 0 và E hướng xuống nên FE cũng hướng xuống.
Hãy giúp mọi người biết câu trả lời này thế nào?

Đáp án:
\(q = \dfrac{{40\pi {R^3}\left( {{D_1} - {D_2}} \right)}}{{3E}}\)
Giải thích các bước giải:
Do giọt dầu lơ lửng trong không khí nên:
\(\begin{array}{l}
P = {F_A} + F\\
\Rightarrow 10{D_1}V = 10{D_2}V + qE\\
\Rightarrow q = \dfrac{{10V\left( {{D_1} - {D_2}} \right)}}{E}\\
\Rightarrow q = \dfrac{{10.\dfrac{4}{3}\pi {R^3}\left( {{D_1} - {D_2}} \right)}}{E}\\
\Rightarrow q = \dfrac{{40\pi {R^3}\left( {{D_1} - {D_2}} \right)}}{{3E}}
\end{array}\)
Hãy giúp mọi người biết câu trả lời này thế nào?
Bảng tin
1121
20636
992
mk mở nv r đó