

Hãy luôn nhớ cảm ơn và vote 5*
nếu câu trả lời hữu ích nhé!

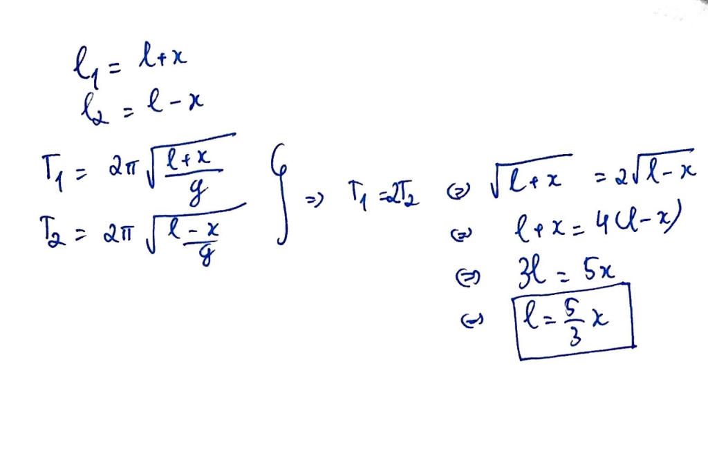
Đáp án:
\(x = \dfrac{3}{5}l\)
Giải thích các bước giải:
* Ban đầu:
\(T = \dfrac{{2\pi }}{\omega } = 2\pi \sqrt {\dfrac{l}{g}} \)
* Khi tăng độ dài:
\({T_1} = 2\pi \sqrt {\dfrac{{l + x}}{g}} \)
* Khi giảm độ dài:
\(\begin{array}{l}
{T_2} = 2\pi \sqrt {\dfrac{{l - x}}{g}} \\
\Rightarrow \dfrac{{{T_1}}}{{{T_2}}} = \sqrt {\dfrac{{l + x}}{{l - x}}} \Rightarrow 4 = \dfrac{{l + x}}{{l - x}}\\
\Rightarrow 4l - 4x = l + x\\
\Rightarrow x = \dfrac{3}{5}l
\end{array}\)
Hãy giúp mọi người biết câu trả lời này thế nào?
Bảng tin