Đăng nhập để hỏi chi tiết


Hãy luôn nhớ cảm ơn và vote 5*
nếu câu trả lời hữu ích nhé!
Đáp án :
CHÚC BẠN HỌC TỐT NHÉ
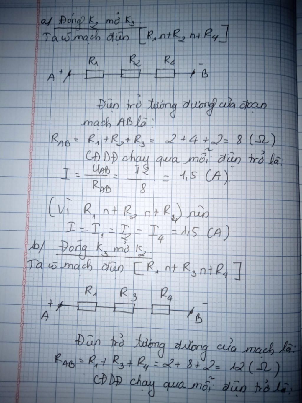
a) Rab = 8 ôm
I = I₁ = I₂ = I₄ = 1,5 A
b) Rab = 12 ôm
I = I₁ = I₃ = I₄ = 1A
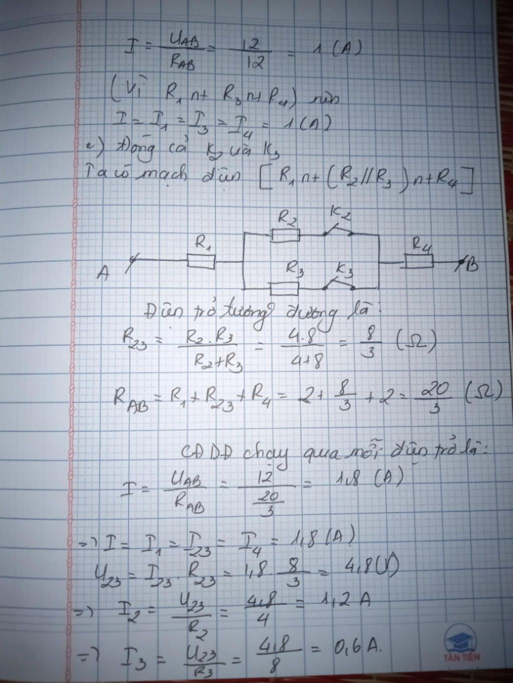
c) Rab = 20/3 ôm
I = I₁ = I₄ = 1,8 A.
I ₂ = 1,2 A
I₃ = 0,6 A
Giải thích các bước giải :
BẠN XEM TRONG ẢNH NHÉ Ạ
Hãy giúp mọi người biết câu trả lời này thế nào?
Bảng tin