

Hãy luôn nhớ cảm ơn và vote 5*
nếu câu trả lời hữu ích nhé!

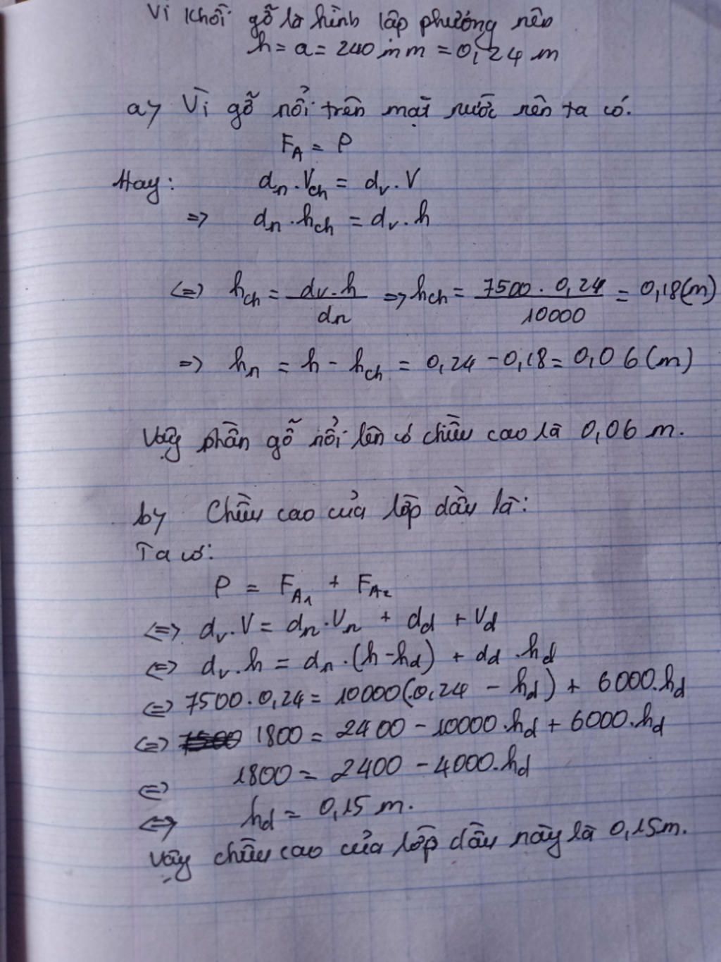
Đáp án:
a. hc = 0,18m b. hd = 0,15m
Giải thích các bước giải:
Đổi: 240mm = 0,24m
a. Chiều cao của phần gỗ nổi trên mặt nước là:
\[\begin{array}{l}
P = {F_A}\\
\Leftrightarrow {d_v}.V = {d_n}.{V_c}\\
\Leftrightarrow {d_v}.h = {d_n}.{h_c}\\
\Rightarrow {h_c} = \frac{{{d_v}.h}}{{{d_n}}} = \frac{{7500.0,24}}{{10000}} = 0,18m\\
\Rightarrow {h_n} = 0,24 - 0,18 = 0,06m
\end{array}\]
b. Chiều cao của lớp dầu là:
\[\begin{array}{l}
P = {F_{{A_1}}} + {F_{{A_2}}}\\
\Leftrightarrow {d_v}.V = {d_n}.{V_n} + {d_d}.{V_d}\\
\Leftrightarrow {d_v}.h = {d_n}.\left( {h - {h_d}} \right) + {d_d}.{h_d}\\
\Leftrightarrow 7500.0,24 = 10000.0,24 - 10000{h_d} + 6000{h_d}\\
\Leftrightarrow 600 = 4000{d_d} \Rightarrow {d_d} = 0,15m
\end{array}\]
Hãy giúp mọi người biết câu trả lời này thế nào?

Đáp án:
a/phần nổi của khối gỗ trên mặt nước có chiều cao là 0,06 m
b/ Chiều cao của lớp dầu là : 0,15 m
Giải thích các bước giải:
BẠN THAM KHẢO TRONG HÌNH CHÚC BẠN HỌC TỐT 👍👍👍👍
Hãy giúp mọi người biết câu trả lời này thế nào?

Bảng tin
21692
332578
11272
Anh thấy đề cho 750 e nhé
21692
332578
11272
Anh thấy giống cả 750 với 780 nhưng 750 cho số đẹp hơn nên phần nào anh nghĩ là hợp lí hơn
12477
228317
11851
Thôi để hồi nx hỏi bạn đặt câu hỏi cx đc ạ
21692
332578
11272
Ok nha
9
926
28
cảm ơn 2 b nhiều nhiều nha.Thiên tài là đây chứ đâu,mà chữ mình xấu thật sorry nhìu hen
9
926
28
Thấy b giống vs 1 ng m bt cùng tên,tuổi mà lớp 9 cx ở đội lí.Trùng hợp thiệt
9
926
28
m ko nhớ kĩ lm nhưng hình như lần này b đó thi Toán đc 7,75 thì phải
7
650
5
.__.