Vui lòng chỉ chọn một câu hỏi
Hoidap247.com Nhanh chóng, chính xác
+
Danh mục mới
44
1394
21
Hãy luôn nhớ cảm ơn và vote 5* nếu câu trả lời hữu ích nhé!
3136
53458
3287
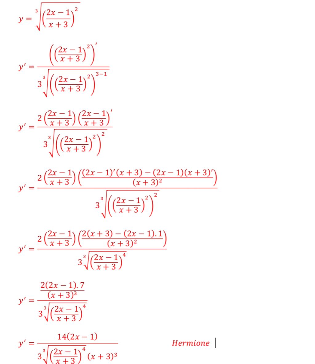
Câu 1 và câu 2 mình giử đây bạn tham khảo nhé
CHÚC BẠN HỌC TỐT !!!
Hãy giúp mọi người biết câu trả lời này thế nào?
cảm ơn bạn, hôm qua mình k on
Bảng tin
Gửi yêu cầu Hủy
44
1394
21
cảm ơn bạn, hôm qua mình k on