

Hãy luôn nhớ cảm ơn và vote 5*
nếu câu trả lời hữu ích nhé!
Đáp án:
LÀM QUỲ TÍM CHUYỂN ĐỎ LÀ CH3COOH
TÁC DỤNG ĐƯỢC VỚI NƯỚC BROM TẠO KẾT TỦA TRẮNG LÀ C6H50H
CHO QUA CuO CÓ PHẢN ỨNG CHẤT RẮN MÀU ĐEN CHUYỂN ĐỎ LÀ C2H5OH
CÒN LẠI LÀ CH3CHO
Giải thích các bước giải:
CH3COOH LÀ AXIT NÊN LM QUỲ TÍM CHUYỂN ĐỎ
C6H5OH + 3Br2 → C6H2Br3OH + 3HBr
C2H5OH + CuO→CH3CHO + Cu + H2O
cách 2 HOẶC CÓ THỂ DÙNG AgNO3/NH3và quỳ tím
*làm quỳ tím chuyển màu là CH3COOH
*CÒN LẠI CHO TÁC DỤNG VỚI AgNO3/NH3
C2H5OH k phản ứng
C6H5OH tạo kết tủa trắng C6H5OH + 2(Ag(NH3)2)OH → C6H6O2 + 2Ag + 4NH3 + H2O
CH3CHO làm mất màu CH3CHO + 2AgNo3 + 3NH3 + H2O → CH3COONH4 + 2NH4No3 + 2Ag
Hãy giúp mọi người biết câu trả lời này thế nào?

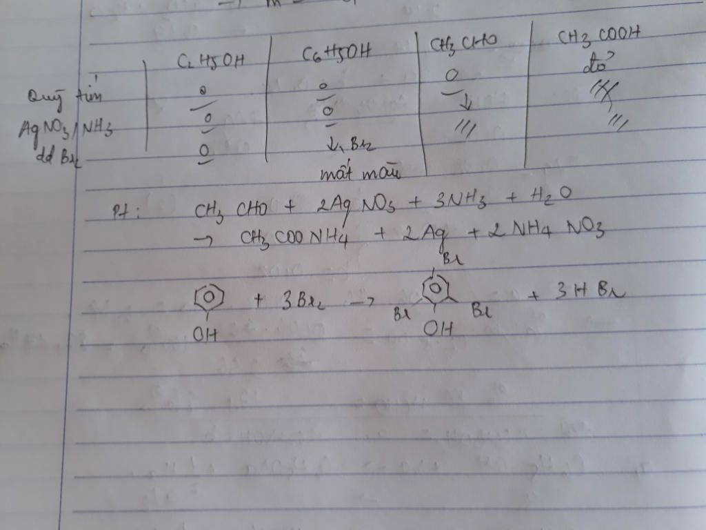
Trích lần lượt các mẫu thử trên.
Cho quỳ tím vào các mẫu thử:
+ Quỳ hóa đỏ: $CH_3COOH$
+ Quỳ không chuyển màu: Các chất còn lại.
Thêm dung dịch $AgNO_3/NH_3$ vào các mẫu thử còn lại:
+ Xuất hiện kết tủa bạc: $CH_3CHO$
+ Không hiện tượng: $C_2H_5OH, C_6H_5OH$
Nhỏ từ từ dung dịch brom vào các mẫu thử $C_2H_5OH, C_6H_5OH$:
+ Xuất hiện kết tủa trắng: $C_6H_5OH$
+ Không hiện tượng: $C_2H_5OH$
PTHH:
$C{H_3}CHO + 2AgN{O_3} + N{H_3} + {H_2}O \to C{H_3}COON{H_4} + 2Ag + N{H_4}N{O_3}$
${C_6}{H_5}OH + 3B{r_2} \to {C_6}{H_2}OHB{r_3} + 3HBr$
Bảng tin
0
5
0
Thanks b nhé 💚
13
1044
7
ko có chi ạ