Vui lòng chỉ chọn một câu hỏi
Hoidap247.com Nhanh chóng, chính xác
+
Danh mục mới
0
67
Hãy luôn nhớ cảm ơn và vote 5* nếu câu trả lời hữu ích nhé!
312
2866
205
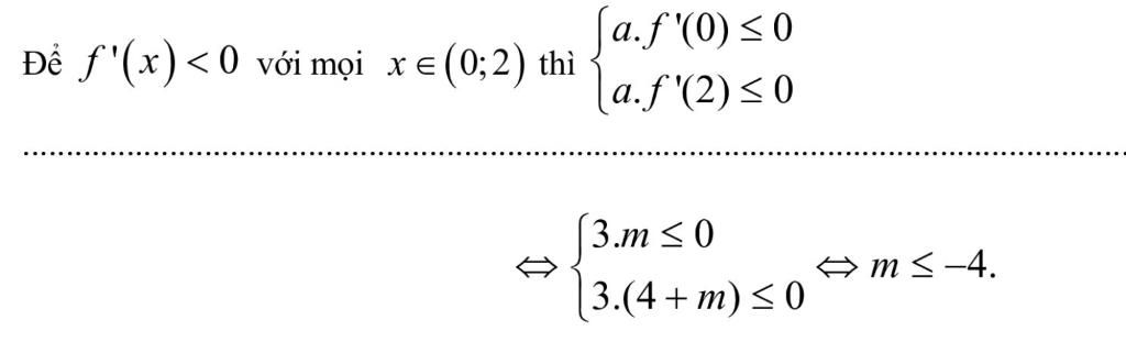
Đáp án:
Giải thích các bước giải:
Hãy giúp mọi người biết câu trả lời này thế nào?
Cám ơn bạn nhé
YWC
tại hết vở rùi lên làm power point
Bảng tin
Gửi yêu cầu Hủy
0
67
0
Cám ơn bạn nhé
312
2866
205
YWC
312
2866
205
tại hết vở rùi lên làm power point