Đăng nhập để hỏi chi tiết


Hãy luôn nhớ cảm ơn và vote 5*
nếu câu trả lời hữu ích nhé!

Đáp án:
CHÚC BẠN HỌC TỐT !!!!!!
Giải thích các bước giải:
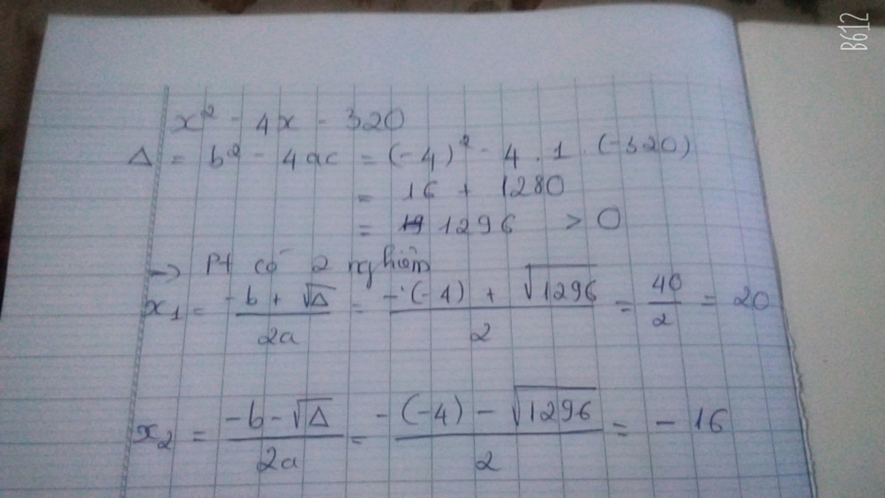
x² - 4x - 320 = 0
<=> x² - 20x + 16x - 320 = 0
<=> (x² - 20x) + (16x - 320) = 0
<=> x.(x - 20) + 16.(x - 20) = 0
<=> (x - 20).(x + 16) = 0
<=> x - 20 = 0 hoặc x + 16 = 0
<=> x = 20 hoặc x = - 16
Vậy S = { - 16 ; 20 }.
Hãy giúp mọi người biết câu trả lời này thế nào?
Bảng tin
12477
228269
11849
Nếu chủ câu hỏi ko chấp nhận câu trả lời này thì nói nhé để tui xóa. (Tui nhác sửa lắm) 😅
2
25
0
Của mình thì sao, có giải đen ta
5767
136700
6923
K chơi tách đc đâu.Giáo viên khó họ trừ điểm á ._. GV bảo hs lớp 9 mà giải như lớp 8 🙄 t bị trừ đau ở bài lày ._. Nghĩ mà cayyy
12477
228269
11849
Tui làm ko bị trừ 😁
12477
228269
11849
Cx tùy gv
5767
136700
6923
Số đỏ phết :'))
12477
228269
11849
Thôi bye, tui đi hk đây. Nếu chủ tú ko .... câu trả lời này thì xóa hộ tui (giữ lại điểm nhé 😁)
5767
136700
6923
Hehe :3 bye .Tui cũng lết đi học đây