

Hãy luôn nhớ cảm ơn và vote 5*
nếu câu trả lời hữu ích nhé!

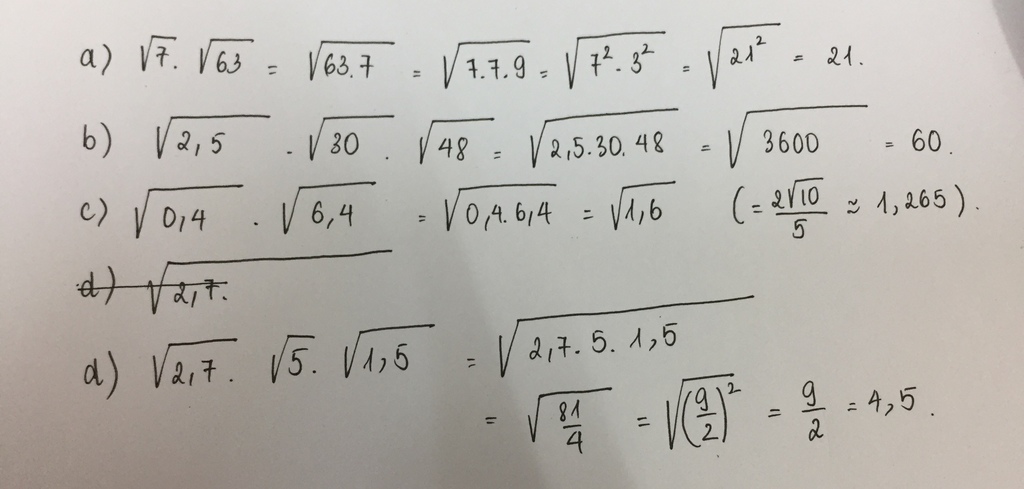
a)$\sqrt{7}$ .$\sqrt{63}$ =$\sqrt{7.63}$ =$\sqrt{7.7.3^{2}}$ =$\sqrt{7^{2}.3^{2}}$ =7.3=21
b)$\sqrt{2,5}$ .$\sqrt{30}$ .$\sqrt{48}$ =$\sqrt{2,5}$ .$\sqrt{3.10}$ .$\sqrt{2^{2}.3.4}$=$\sqrt{2,5.4.2^{2}.3^{2}.10}$=$\sqrt{2^{2}.3^{2}.10^{2}}$=2.3.10=60
c)$\sqrt{0,4}$ .$\sqrt{6,4}$ =$\sqrt{0,4}$.$\sqrt{0,4.16}$=$\sqrt{0,4^{2}.4^{2}}$ =0.4.4=1,6
d)$\sqrt{2,7}$ .$\sqrt{5}$ .$\sqrt{1,5}$ =$\sqrt{0,3.3^{2}}$ .$\sqrt{5}$ .$\sqrt{0,3.5}$ =$\sqrt{0,3^{2}.5^{2}.3^{2}}$ =0,3.5.3=4,5
Hãy giúp mọi người biết câu trả lời này thế nào?
Bảng tin