Vui lòng chỉ chọn một câu hỏi
Hoidap247.com Nhanh chóng, chính xác
+
Danh mục mới
0
112
Hãy luôn nhớ cảm ơn và vote 5* nếu câu trả lời hữu ích nhé!
11
220
5
Hãy giúp mọi người biết câu trả lời này thế nào?
63
1536
34
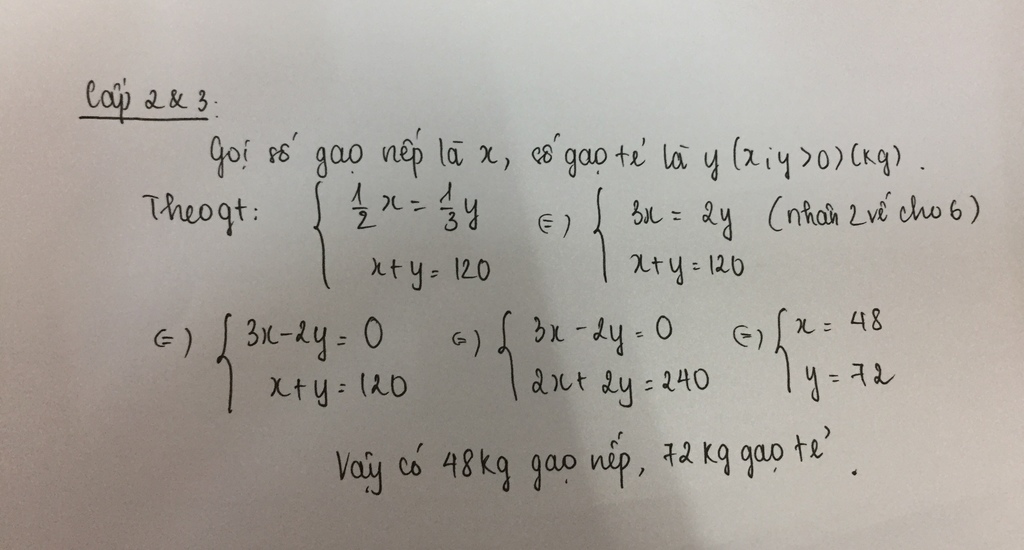
Đáp án
gạo tẻ 48 kg
gạo nếp 72 kg
Bảng tin
Gửi yêu cầu Hủy