

Hãy luôn nhớ cảm ơn và vote 5*
nếu câu trả lời hữu ích nhé!
$\text{Chào bạn. Bạn tham khảo nhé !}$
$\text{Bài làm :}$
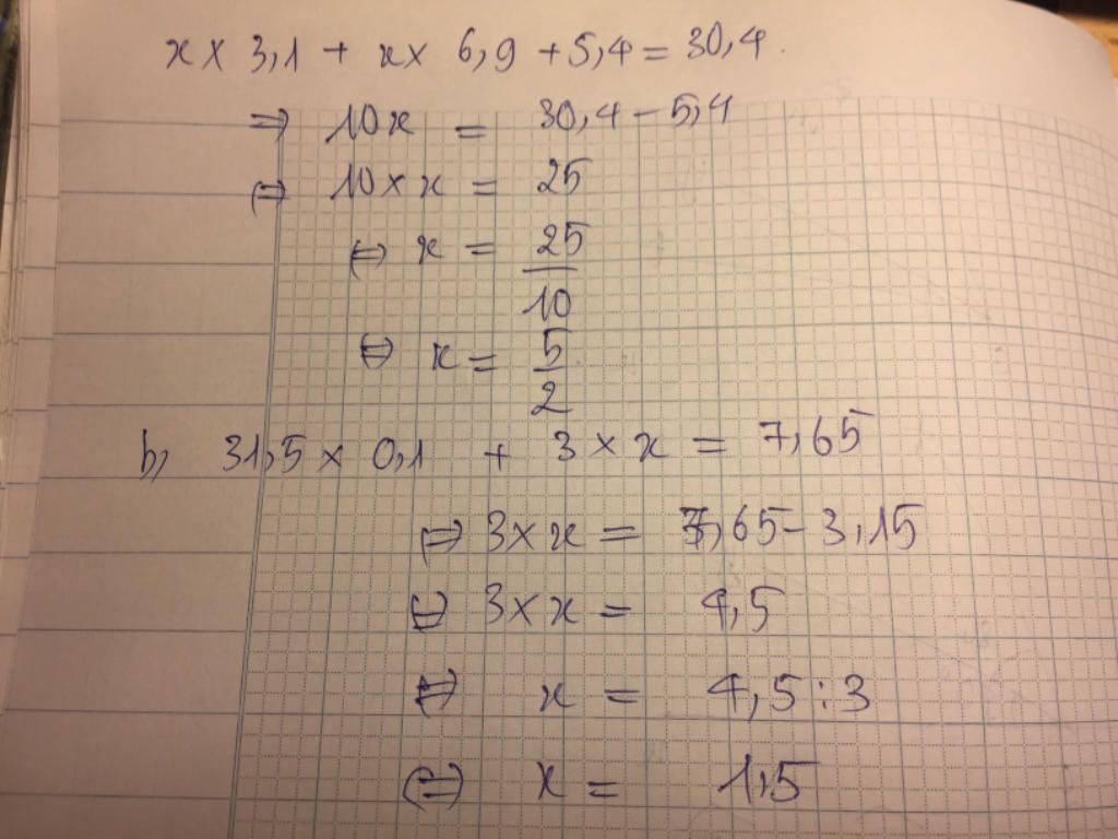
$\text{a, x + 3,1 + x × 6,9 + 5,4 = 30,4}$
$\text{x + ( 3,1 + 6,9 + 5,4 ) = 30,4}$
$\text{x + 15,4 = 30,4}$
$\text{x = 30,4 - 15,4}$
$\text{x = 15}$
$\text{b, 31,5 × 0,1 + x × 3 = 7,65}$
$\text{3,15 + x × 3 = 7,65}$
$\text{x × 3 = 7,65 - 3,15}$
$\text{x × 3 = 4,5}$
$\text{x = 4,5 ÷ 3}$
$\text{x = 1,5}$
$\text{#We_are_one}$
$\text{#No_copy}$
$\text{Chúc bạn hok tốt nhé !}$
$\text{Cho mik xin vote 5 sao + 1 cảm ơn + câu trl hay nhất nhé}$
Hãy giúp mọi người biết câu trả lời này thế nào?
Bảng tin
1163
4701
1791
mik tự làm nhé
1163
4701
1791
mik ko sao chép của ai đâu
1163
4701
1791
tại vì bài bn kia làm bằng ảnh nên mik ko sao chép đc
1163
4701
1791
nếu sao chép đc thì bài làm và kết quả giống nhau rồi nên bn đừng hiểu nhầm nhé
1163
4701
1791
mik cảm ơn bn hỏi nhé