Đăng nhập để hỏi chi tiết


Hãy luôn nhớ cảm ơn và vote 5*
nếu câu trả lời hữu ích nhé!
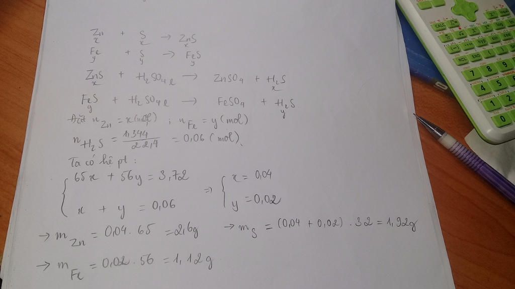
Zn(x)+S→ZnS(x)Zn(x)+S→ZnS(x)
Fe(y)+S→FeS(y)Fe(y)+S→FeS(y)
ZnS(x)+H2SO4→H2S(x)+ZnSO4ZnS(x)+H2SO4→H2S(x)+ZnSO4
FeS(y)+H2SO4→H2S(y)+FeSO4FeS(y)+H2SO4→H2S(y)+FeSO4
nH2S=1,34422,4=0,06nH2S=1,34422,4=0,06
Gọi số mol của Zn, Fe lần lược là x, y ta có hệ
{65x+56y=3,72x+y=0,06{65x+56y=3,72x+y=0,06
⇔{x=0,04y=0,02⇔{x=0,04y=0,02
⇒mZn=0,04.65=2,6⇒mZn=0,04.65=2,6
⇒mFe=0,02.56=1,12
Hãy giúp mọi người biết câu trả lời này thế nào?
Bảng tin
