

Hãy luôn nhớ cảm ơn và vote 5*
nếu câu trả lời hữu ích nhé!
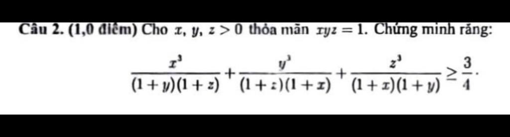
Áp dụng bất đẳng thức Cauchy-Schwarz:
$\frac{x^{3}}{(1+y)(1+z)}$+$\frac{1+y}{8}$+$\frac{1+z}{8}$$\geq$ 3$\sqrt[3]{\frac{x^{3}}{(1+y)(1+z)}.\frac{1+y}{8}.\frac{1+z}{8}}$=$\frac{3x}{4}$
$\frac{y^{3}}{(1+z)(1+x)}$+$\frac{1+z}{8}$+$\frac{1+x}{8}$$\geq$ 3$\sqrt[3]{\frac{y^{3}}{(1+z)(1+x)}.\frac{1+z}{8}.\frac{1+x}{8}}$=$\frac{3y}{4}$
và
$\frac{z^{3}}{(1+x)(1+y)}$+$\frac{1+x}{8}$+$\frac{1+y}{8}$$\geq$ 3$\sqrt[3]{\frac{z^{3}}{(1+x)(1+y)}.\frac{1+x}{8}.\frac{1+y}{8}}$=$\frac{3z}{4}$
Gọi VT là S
Vậy S + 2($\frac{1+x}{8}$+$\frac{1+y}{8}$+$\frac{1+z}{8}$) $\geq$ $\frac{3}{4}$(x+y+z)
S $\geq$ $\frac{3(x+y+z)-(x+y+z)-3}{4}$
S $\geq$ $\frac{2(x+y+z)-3}{4}$
Mà x+y+z$\geq$3$\sqrt[3]{xyz}$ = 3
⇒ S $\geq$ $\frac{2.3-3}{4}$ = $\frac{3}{4}$
Vậy đpcm
Hãy giúp mọi người biết câu trả lời này thế nào?
Bảng tin