

Hãy luôn nhớ cảm ơn và vote 5*
nếu câu trả lời hữu ích nhé!
Đáp án:
$N =-2\sqrt{2}$
Giải thích:
PT: `x^2 - 2x - 1 = 0`
`△' = (-1)^2 - 1 *(-1) = 1 + 1 = 2 > 0`
$\Rightarrow$ Phương trình có hai nghiệm phân biệt `x_1, x_2`
Áp dụng định lý Vi-ét, ta có: $\begin{cases} x_1 + x_2 = 2\\x_1x_2 = -1\end{cases}$
Ta có biểu thức cần tính:
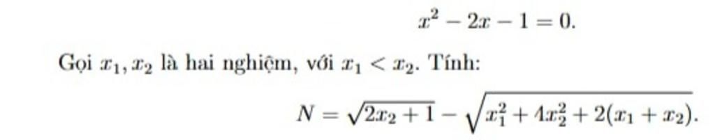
$N =\sqrt{2x_2 + 1}$ - $\sqrt{x_1^2 + 4x_2^2 + 2(x_1 + x_2)}$
$=\sqrt{2(1 + \sqrt{2}) + 1}$ - $\sqrt{(3 - 2\sqrt{2}) + 4(3 + 2\sqrt{2}) + 4}$
$=\sqrt{3 + 2\sqrt{2}}$ - $\sqrt{19 + 6\sqrt{2}}$
$=\sqrt{(1 + \sqrt{2})^2}$ - $\sqrt{(3\sqrt{2} + 1)^2}$
$=\sqrt{(1 + \sqrt{2})^2}$ - $\sqrt{(3\sqrt{2} + 1)^2}$
$=1 + \sqrt{2}$ - $3\sqrt{2} + 1$
$=-2\sqrt{2}$
Vậy $N =-2\sqrt{2}$
Hãy giúp mọi người biết câu trả lời này thế nào?
Bảng tin