

Làm hộ mình với mọi người
Hãy luôn nhớ cảm ơn và vote 5*
nếu câu trả lời hữu ích nhé!
Đáp án:+Giải thích các bước giải:
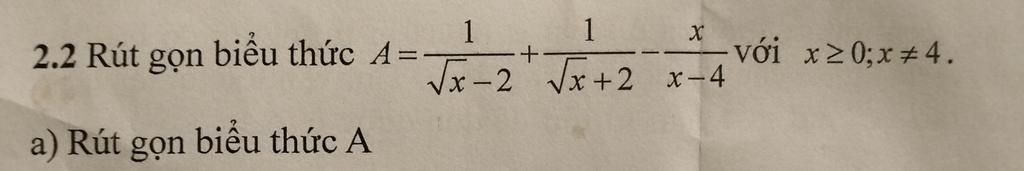
`2.2`
`a.`
`A = 1/(sqrtx-2) + 1/(sqrtx+2) - x/(x-4)` `ĐK : x >=0 ; x ne 4`
`A = (sqrtx+2)/((sqrtx-2)(sqrtx+2)) + (sqrtx-2)/((sqrtx+2)(sqrtx-2)) - x/((sqrtx-2)(sqrtx+2))`
`A= ( sqrtx +2 + sqrtx -2 -x)/((sqrtx +2)(sqrtx +2))`
`A = (2sqrtx-x)/((sqrtx+2)(sqrtx-2))`
`A = (-sqrtx(sqrtx-2))/((sqrtx+2)(sqrtx-2))`
`A = (-sqrtx)/(sqrtx+2) .`
Vậy `A = (-sqrtx)/(sqrtx+2)` với `x >=0 ; x ne 4.`
Hãy giúp mọi người biết câu trả lời này thế nào?
`a)`
`A=1/(\sqrt{x}-2)+1/(\sqrt{x}+2)-x/(x-4)`
`A=1/(\sqrt{x}-2)+1/(\sqrt{x}+2)-x/((\sqrt{x}-2)(\sqrt{x}+2))`
`A=(\sqrt{x}+2+\sqrt{x}-2-x)/((\sqrt{x}-2)(\sqrt{x}+2))`
`A=(-x+2\sqrt{x})/((\sqrt{x}-2)(\sqrt{x}+2))`
`A=(-\sqrt{x}(\sqrt{x}-2))/((\sqrt{x}-2)(\sqrt{x}+2))`
`A=(-\sqrt{x})/(\sqrt{x}+2)`
Hãy giúp mọi người biết câu trả lời này thế nào?
Bảng tin