

Giúp tui làm với mai phải nộp r
Hãy luôn nhớ cảm ơn và vote 5*
nếu câu trả lời hữu ích nhé!
`@` Gui tus
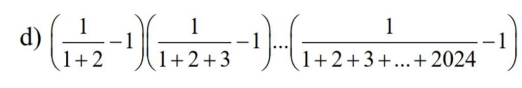
`d)` Công thức tổng quát:
`1+2+...+n=[n(n+1)]/2`
`=>1/(1+2+...+n)-1=2/[n(n+1)]-1=(2-n^2-n)/[n(n+1)]=-[(n-1)(n+2)]/[n(n+1)]`
Khi đó; biểu thức trở thành:
`A=[-(1*4)/(2*3)]*[-(2*5)/(3*4)]*[-(3*6)/(4*5)]*...*[-(2023*2026)/(2024*2025)]`
Số các thừa số là `2024-2=2022` `(`số chẵn`),` nên kết quả mang dấu dương:
`A=(1*4*2*5*3*6*...*2023*2026)/(2*3*3*4*4*5*...*2024*2025)`
`A=(1*2*3*...*2023)/(3*4*5*...*2025)*(4*5*6*...*2026)/(2*3*4*...*2024)`
`A=[(1*2)/(2024*2025)]*[(2025*2026)/(2*3)]`
`A=2026/(3*2024)`
`A=1013/3036`
Hãy giúp mọi người biết câu trả lời này thế nào?

`_____________P.Mui-mailove________________`
$$A = \left( \frac{1}{1+2} - 1 \right) \left( \frac{1}{1+2+3} - 1 \right) \dots \left( \frac{1}{1+2+\dots+2024} - 1 \right)$$$$\frac{1}{\frac{n(n+1)}{2}} - 1 = \frac{2}{n(n+1)} - \frac{n(n+1)}{n(n+1)} = \frac{2 - (n^2 + n)}{n(n+1)} = \frac{-(n-1)(n+2)}{n(n+1)}$$$$A = \underbrace{\left( \frac{-1 \cdot 4}{2 \cdot 3} \right) \cdot \left( \frac{-2 \cdot 5}{3 \cdot 4} \right) \cdot \left( \frac{-3 \cdot 6}{4 \cdot 5} \right) \dots \left( \frac{-2023 \cdot 2026}{2024 \cdot 2025} \right)}_{2023 \text{ thừa số}}$$$$A = - \frac{1 \cdot 2 \cdot 3 \dots 2023}{2 \cdot 3 \cdot 4 \dots 2024} \cdot \frac{4 \cdot 5 \cdot 6 \dots 2026}{3 \cdot 4 \cdot 5 \dots 2025}$$$$A = - \frac{1}{2024} \cdot \frac{2026}{3}$$$$A = - \frac{2026}{6072}$$$$A = -\frac{1013}{3036}$$
`\text \color{f#167}{--ARIS VANE--}`
Hãy giúp mọi người biết câu trả lời này thế nào?

Bảng tin