

hn nhiều bài quá nên e gửi hơi nhiều mn lm giúp e ạ, e cảm ơn
Hãy luôn nhớ cảm ơn và vote 5*
nếu câu trả lời hữu ích nhé!
Đáp án:
Giải thích các bước giải:
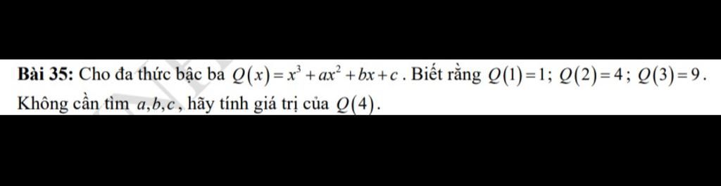
- $Q(1) = 1 = 1^2$
- $Q(2) = 4 = 2^2$
- $Q(3) = 9 = 3^2$
Như vậy, tại các điểm $x = 1, 2, 3$ thì $Q(x) = x^2$.
Xét đa thức phụ $P(x) = Q(x) - x^2$.
Ta có:
$P(1) = Q(1) - 1^2 = 0$
$P(2) = Q(2) - 2^2 = 0$
$P(3) = Q(3) - 3^2 = 0$
Vì vậy, $x = 1, x = 2, x = 3$ là ba nghiệm của đa thức $P(x)$.
$Q(x) = x^3 + ax^2 + bx + c$ là một đa thức bậc ba với hệ số của $x^3$ là 1.
Do đó, $P(x) = Q(x) - x^2$ cũng là một đa thức bậc ba có hệ số của bậc cao nhất (hệ số của $x^3$) là 1.
Vì $P(x)$ có ba nghiệm là $1, 2, 3$, ta có thể viết $P(x)$ dưới dạng:
$=>$$P(x) = (x - 1)(x - 2)(x - 3)$
Từ đó, ta suy ra công thức của $Q(x)$:
$=>$$Q(x) = P(x) + x^2 = (x - 1)(x - 2)(x - 3) + x^2$
Thay $x = 4$ vào biểu thức vừa tìm được:
$=>$$Q(4) = (4 - 1)(4 - 2)(4 - 3) + 4^2$
$<=>$$Q(4) = 3 \cdot 2 \cdot 1 + 16$
$<=>$$Q(4) = 6 + 16 = 22$
Hãy giúp mọi người biết câu trả lời này thế nào?

Giải thích các bước giải:
$\begin{aligned}
& \text{Đặt đa thức phụ } P(x) \text{ để tạo mối liên hệ với các giá trị đã cho:} \\
& P(x) = Q(x) - x^2 \\
& \text{Vì } Q(x) \text{ là đa thức bậc ba có hệ số cao nhất bằng } 1 \text{ nên } P(x) \text{ cũng là đa thức bậc ba có hệ số cao nhất bằng } 1. \\
& \text{Tính giá trị của } P(x) \text{ tại các điểm } x=1, x=2, x=3: \\
& P(1) = Q(1) - 1^2 \\
& P(1) = 1 - 1 = 0 \\
& P(2) = Q(2) - 2^2 \\
& P(2) = 4 - 4 = 0 \\
& P(3) = Q(3) - 3^2 \\
& P(3) = 9 - 9 = 0 \\
& \text{Do } P(1) = 0, P(2) = 0, P(3) = 0 \text{ nên } 1, 2, 3 \text{ là ba nghiệm của đa thức } P(x). \\
& \text{Phân tích đa thức } P(x) \text{ thành nhân tử:} \\
& P(x) = (x - 1)(x - 2)(x - 3) \\
& \text{Biểu diễn lại đa thức } Q(x): \\
& Q(x) = P(x) + x^2 \\
& Q(x) = (x - 1)(x - 2)(x - 3) + x^2 \\
& \text{Thay } x = 4 \text{ vào biểu thức của } Q(x) \text{ để tính kết quả:} \\
& Q(4) = (4 - 1)(4 - 2)(4 - 3) + 4^2 \\
& Q(4) = 3 \cdot 2 \cdot 1 + 16 \\
& Q(4) = 6 + 16 \\
& Q(4) = 22 \\
& \text{Kết quả: } Q(4) = 22.
\end{aligned}$
Hãy giúp mọi người biết câu trả lời này thế nào?
Bảng tin
31
1097
21
$ là cái j vậy bn
6020
5955
4055
bạn bấm tải lại nhé, mình sửa r hiu hiu