

giup em voi plssssss
Hãy luôn nhớ cảm ơn và vote 5*
nếu câu trả lời hữu ích nhé!
EM THAM KHẢO :
ĐKXĐ : $x > 0, y > 0, x \neq y$
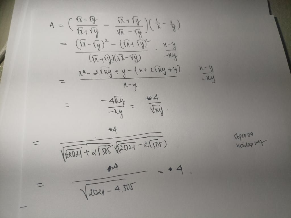
$A = \left( \dfrac{\sqrt{x}-\sqrt{y}}{\sqrt{x}+\sqrt{y}} - \dfrac{\sqrt{x}+\sqrt{y}}{\sqrt{x}-\sqrt{y}} \right) \cdot \left( \dfrac{1}{x} - \dfrac{1}{y} \right)$
$= \left[ \dfrac{(\sqrt{x} - \sqrt{y})^2}{(\sqrt{x} + \sqrt{y})(\sqrt{x} - \sqrt{y})} - \dfrac{(\sqrt{x} + \sqrt{y})^2}{(\sqrt{x} - \sqrt{y})(\sqrt{x} + \sqrt{y})} \right] \cdot \left( \dfrac{y - x}{xy} \right)$
$= \dfrac{(\sqrt{x} - \sqrt{y})^2 - (\sqrt{x} + \sqrt{y})^2}{x - y} \cdot \dfrac{-(x - y)}{xy}$
$= \dfrac{(x - 2\sqrt{xy} + y) - (x + 2\sqrt{xy} + y)}{x - y} \cdot \dfrac{-(x - y)}{xy}$
$= \dfrac{-4\sqrt{xy}}{x - y} \cdot \dfrac{-(x - y)}{xy}$
$= \dfrac{4\sqrt{xy}}{xy}$
$= \dfrac{4}{\sqrt{xy}}$
$x = \sqrt{\sqrt{2021} + 2\sqrt{505}}$ và $y = \sqrt{\sqrt{2021} - 2\sqrt{505}}$ (thỏa mãn đk)
Ta có :
$x.y = \sqrt{\sqrt{2021} + 2\sqrt{505}} \cdot \sqrt{\sqrt{2021} - 2\sqrt{505}}$
$= \sqrt{\left(\sqrt{2021} + \sqrt{4 \cdot 505}\right)\left(\sqrt{2021} - \sqrt{4 \cdot 505}\right)}$
$= \sqrt{\left(\sqrt{2021} + \sqrt{2020}\right)\left(\sqrt{2021} - \sqrt{2020}\right)}$
$= \sqrt{(\sqrt{2021})^2 - (\sqrt{2020})^2}$
$= \sqrt{2021 - 2020}$
$= \sqrt{1}$
$= 1$
$A = \dfrac{4}{1}=4$
Hãy giúp mọi người biết câu trả lời này thế nào?
Bảng tin