

Hãy luôn nhớ cảm ơn và vote 5*
nếu câu trả lời hữu ích nhé!
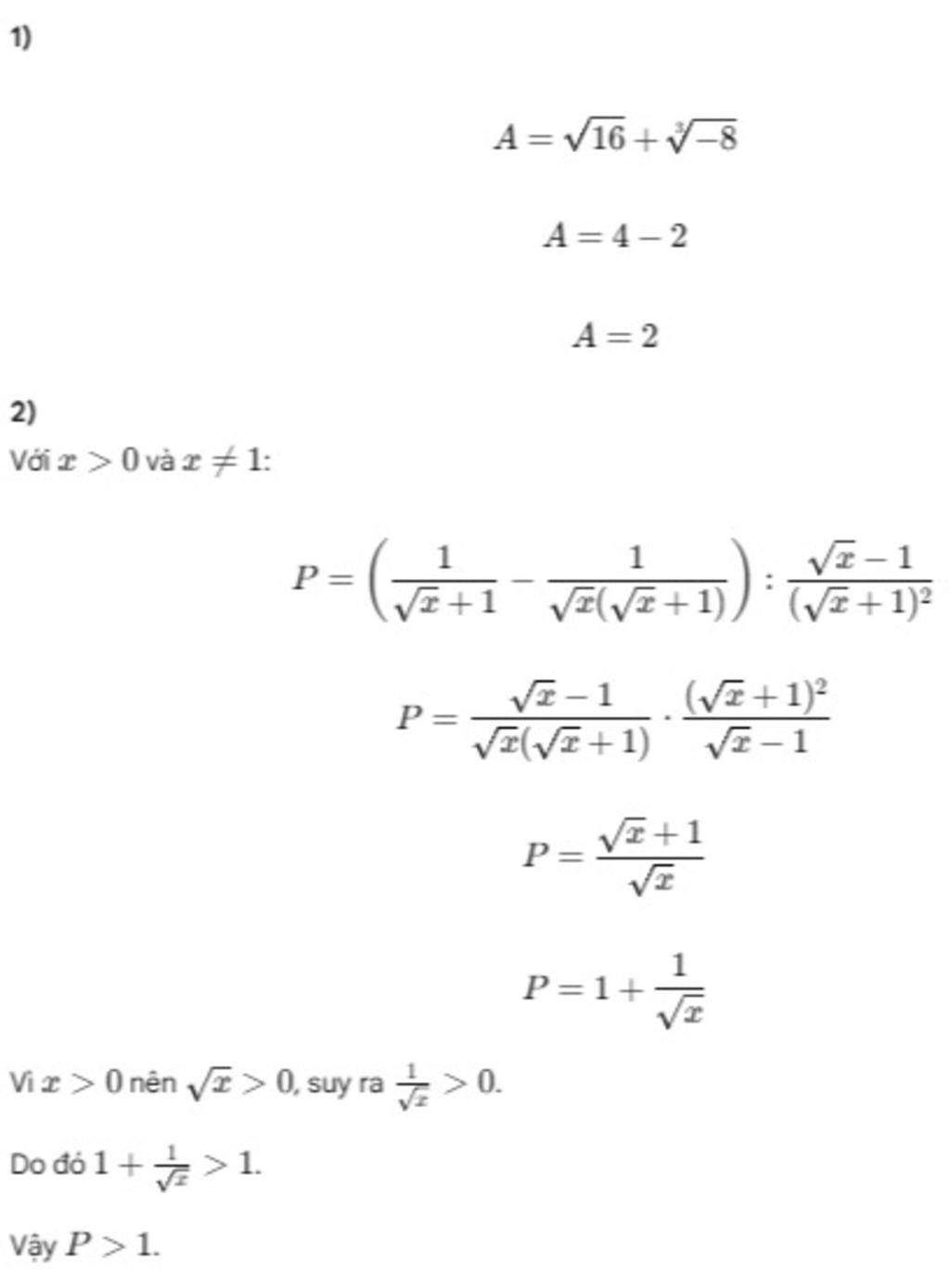
`2.2)`
`P = (1/(\sqrt{x} + 1) - 1/(x + \sqrt{x}) ) : (\sqrt{x} - 1)/(x + 2\sqrt{x} + 1)` `( x> 0 ; x\ne 1 )`
`P = (1/(\sqrt{x} + 1) - 1/(\sqrt{x}(\sqrt{x} + 1)) ) : (\sqrt{x} - 1)/((\sqrt{x}+1)^2)`
`P = (\sqrt{x} - 1)/(\sqrt{x}(\sqrt{x} + 1)) . ((\sqrt{x}+1)^2)/(\sqrt{x} - 1)`
`P = (\sqrt{x} + 1)/(\sqrt{x})`
`P = 1 + 1/(\sqrt{x})`
Ta có :
`1/(\sqrt{x}) > 0` `( x > 0 )`
`1 + 1/(\sqrt{x}) > 1`
`P > 1`
Vậy `P > 1`
Hãy giúp mọi người biết câu trả lời này thế nào?
Bảng tin