

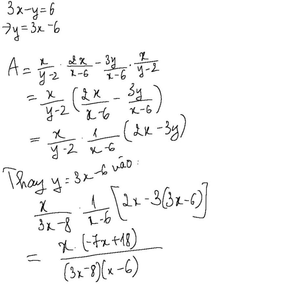
Cho 3x - y = 6 . Tính giá trị biểu thức A = x/y-2 . 2x/x-6 - 3y/x-6 . x/y-2
Hãy luôn nhớ cảm ơn và vote 5*
nếu câu trả lời hữu ích nhé!

Giải thích các bước giải:
$\begin{aligned}
& A = \dfrac{x}{y-2} \cdot \left( \dfrac{2x}{x-6} - \dfrac{3y}{x-6} \right) \\
& A = \dfrac{x(2x - 3y)}{(y-2)(x-6)} \\
& 3x - y = 6 \\
& y = 3x - 6 \\
& A = \dfrac{x(2x - 3(3x - 6))}{(3x - 6 - 2)(x - 6)} \\
& A = \dfrac{x(2x - 9x + 18)}{(3x - 8)(x - 6)} \\
& A = \dfrac{18x - 7x^2}{3x^2 - 26x + 48} \\
& \text{Kết quả: } A = \dfrac{18x - 7x^2}{3x^2 - 26x + 48}
\end{aligned}$
Hãy giúp mọi người biết câu trả lời này thế nào?
Bảng tin