

Hãy luôn nhớ cảm ơn và vote 5*
nếu câu trả lời hữu ích nhé!
`cccolor{#8FBC8F}{~} cccolor{#C1FFC1}{b} cccolor{#B4EEB4}{u} cccolor{#9BCD9B}{i} cccolor{#698B69}{g} cccolor{#2E8B57}{i} cccolor{#54FF9F}{a} cccolor{#4EEE94}{p} cccolor{#43CD80}{h} cccolor{#98FB98}{o} cccolor{#008B45}{n} cccolor{#00FF00}{g} cccolor{#00EE00}{9} cccolor{#00CD00}{9} cccolor{#ADFF2F}{9} cccolor{#228B22}{~}`
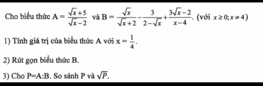
`1)` Thay `x=1/4` vào `A`, ta được:
`A=(sqrt(1/4)+5)/(sqrt(1/4)-2)=(1/2+5)/(1/2-2)=(1/2+10/2)/(1/2-4/2)=(11/2)/(-3/2)=11/2 . (-2)/3=-11/3`
Vậy `A=-11/3` tại `x=1/4`
`2)`
`B=sqrtx/(sqrtx+2)-3/(2-sqrtx)+(3sqrtx-2)/(x-4) \ (xge0,xne4)`
`B=sqrtx/(sqrtx+2)+3/(sqrtx-2)+(3sqrtx-2)/((sqrtx-2)(sqrtx+2))`
`B=(sqrtx(sqrtx-2))/((sqrtx-2)(sqrtx+2))+(3(sqrtx+2))/((sqrtx-2)(sqrtx+2))+(3sqrtx-2)/((sqrtx-2)(sqrtx+2))`
`B=(x-2sqrtx+3sqrtx+6+3sqrtx-2)/((sqrtx-2)(sqrtx+2))`
`B=(x+4sqrtx+4)/((sqrtx-2)(sqrtx+2))`
`B=(sqrtx+2)^2/((sqrtx-2)(sqrtx+2))`
`B=(sqrtx+2)/(sqrtx-2)`
`3) P=A:B`
`P=(sqrtx+5)/(sqrtx-2) : (sqrtx+2)/(sqrtx-2)=(sqrtx+5)/(sqrtx-2) . (sqrtx-2)/(sqrtx+2)=(sqrtx+5)/(sqrtx+2)`
Xét hiệu `P-1:`
`P-1=(sqrtx+5)/(sqrtx+2)-1=(sqrtx+5-(sqrtx+2))/(sqrtx+2)=3/(sqrtx+2)`
Vì `xge0=>sqrtx+2ge0` nên `3/(sqrtx+2)>0=>P>1`
Xét hiệu `P-sqrtP=sqrtP(sqrtP-1)`
Vì `P>1` nên `sqrtP>1=>sqrtP-1>0`
Do đó, `sqrtP(sqrtP-1)>0=>P>sqrtP`
Vậy `P>sqrtP`
$\color{#29B6F6}{\heartsuit Phuongg \ Li nhh \heartsuit}$
Hãy giúp mọi người biết câu trả lời này thế nào?
![]()
Bảng tin